0  311914  311922  311928  311932  311938  311940  311944  311950  311952  311958  311964  311968  311970  311974  311980  311982  311988  311992  311994  311998  312000  312004  312006  312008  312009  312010  312012  312013  312014  312016  312018  312022  312024  312028  312030  312034  312040  312042  312048  312052  312054  312058  312064  312070  312072  312078  312082  312084  312090  312094  312100  312108  447090 

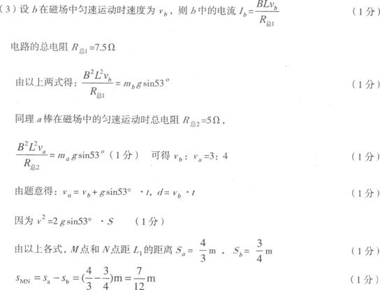
16.(16分)如图所示,两根足够长且平行的光滑金属导轨与水平面成530角放置,导轨间接一阻值为3Ω的电阻R,导轨电阻忽略不计.在两平行虚线L1、L2间有一与导轨所在平面垂直、磁感应强度为B的匀强磁场,磁场区域的宽度为d=0.5m.导体棒a的质量为ma=0.2kg,电阻Ra=3Ω;导体棒b的质量为mb=0.1kg,电阻Rb=6Ω;它们分别垂直导轨放置并始终与导轨接触良好,现从图中的M、N处同时将它们由静止开始释放,运动过程中它们都能匀速穿过磁场区域,当b刚穿出磁场时,a正好进入磁场.取重力加速度g=10 m/s2,sin530=0.8且不计a、b之间电流的相互作用,求:

(1)在整个过程中,a、b两导体棒分别克服安培力做的功;

(2)在a穿越磁场的过程中,a、b两导体棒上产生的焦耳热之比;

(3)M点和N点之间的距离.

试题详情

15.(16分)如图所示,第四象限内有互相正交的电场强度为E的匀强电场与磁感应强度为B1=0.25T的匀强磁场,第一象限的某个矩形区域内,有方向垂直纸面向里、磁感应强度为B:的匀强磁场,磁场的下边界与x轴重合.质量为m=×10-10kg、带电量q= +1×10-6C的微粒以速度v=1×103m/s从y轴上的M点开始沿与y轴正方向成600角的直线匀速运动,经P点进入处于第一象限内的匀强磁场区域.一段时间后,小球经过y轴上的N点并与y轴正方向成60。角的方向进入第二象限.M点的坐标N(0,一l0),N点的坐标为(O,30),不计粒子的重力,g取10m/s2.求:

(1)第四象限内匀强电场的电场强度E;

(2)第一象限内匀强磁场的磁感应强度B2的大小;

(3)第一象限内矩形匀强磁场区域的最小面积Smin。

试题详情

14.(15分)如图所示,粗糙的绝缘水平面上,A、B两点相距4L,O为AB的中点,且AC=CO= OD=DB,A、B两处分别固定有电量为+Q的点电荷.在C点处有一个质量为优的小物块(可视为质点),带电量为+q(q《Q),以初速度才。向右滑行,通过O点后恰好在D点处停下并保持静止,求:

 (1)C点处的电场强度;

(2)物块在D点处的静摩擦力;

(3)物块从C点滑到D点,摩擦力做的功Wf;

(4)物块与水平面间的动摩擦因数.

试题详情

13.(12分)如图所示,AEBCDO是处于竖直平面内的光滑轨道,AEB是半径为R=1.5m的1/4圆周轨道,CDO是直径为1.5m的半圆轨道.AEB轨道和CDO轨道通过极短的水平轨道(长度忽略不计)平滑连接.半径OA处于水平位置,直径OC处于竖直位置.质量m=0.1kg的小球由A点的正上方高H的P点处自由落下,从A点进入竖直平面内的轨道运动(小球经过A点时无机械能损失),小球恰能通过CDO轨道最高点。并落在AEB轨道上的E点,不计空气阻力,g取10m/s2.求:

  (1)高度H的大小;

  (2)当小球通过CDO轨道最低点C时对轨道的压力大小;

  (3)θ角的大小.(用反三角函数表示)

试题详情

12.(12分)2008年5月12日四川汶川发生大地震后,为抗震救灾,空军某部派直升机空投救灾物  资.总质量为100kg的救灾物资从悬停在离地300m高处的直升机上被静止释放,经过2s救灾物资上的降落伞自动开启,如图所示是救灾物资在下落过程中的u-t图像.试根据图像所提供的信息(g取10m/s2):   、

(1)求t=is时救灾物资的加速度大小和1.5s时所受的合力大小;

(2)求t=15s时救灾物资所受的阻力大小;

(3)估算救灾物资下落18s时离地的高度.

试题详情

11.(12分).为了测定电源电动势E、内电阻r和电阻R0.某同学利用DIS设计了如图甲所示的电路.闭合开关S0将滑动变阻器的滑动触头P向某一方向移动,用电压传感器1、电压传感器2和电流传感器测得数据,并根据测量数据利用计算机分别描绘了如图乙所示的M、N两条U-I图线.请你回答下列问题:

(1)根据图乙中的M、N两条图线可知:

▲  (填写选项前的字母)

A.直线M是根据电压传感器1和电流传感器的数据画得的

B.直线M是根据电压传感器2和电流传感器的数据硒得的

C.直线N是根据电压传感器1和电流传感器的数据画得的

D.直线N是根据电压传感器2和电流传感器的数据画得的

(2)根据图乙可以求得电源电动势E=   ▲   V,内电阻r=  ▲   Ω,电阻R0=  ▲   Ω

(3)对应于图乙中两直线交点处的电路工作状态是: ▲  (填写选项前的字母)

  A.滑动变阻器的滑动头P滑到了最左端   B.电源的输出功率最大

  C.定值电阻R0上消耗的功率为0.5W    D.电源的效率达到最大值

试题详情

10.(6分)

(1)某学生用螺旋测微器测一金属丝的直径,测得的结果如图(a)所示,则该金属丝的直径d=   ▲   mm.另一位学生用游标尺上有20个小格的游标卡尺测一工件的长度,测得的结  果如图(b)所示,则该工件的长度L=   ▲   cm.

(2)某同学在研究长直导线周围的磁场时,为增大电流,用多根长直导线捆在一起进行实验.他不断改变导线中的总电流I和测试点与直导线的垂直距离r,测得的数据如下表所示(但遗漏了一个数据):

请你通过对上述数据的处理与分析得出磁感应强度B与电流I及距离r的关系式为B=▲   (用相关的符号表示);遗漏的数据约为   ▲  

试题详情

9.如图所示,质量均为m的两个完全相同的小球A、B(可看成质点),带等量异种电荷,通过绝缘轻弹簧相连接,置于绝缘光滑的水平面上.当突然加一水平向右的匀强电场后,两小球A、B将由静止开始运动.则在以后的运动过程中,对两个小球和弹簧所组成的系统(设整个过程中不考虑两电荷之间的库仑力作用且弹簧不超过弹性限度),以下说法错误的是

  A.系统的机械能守恒

  B.当两小球速度为零时,系统的机械能一定最小

  C.当小球所受的电场力与弹簧的弹力平衡时,系统动能最大

  D.因电场力始终对球A和球B做正功,故系统的机械能不断增加

试题详情

8.如图所示,A为用超导材料制成的并用绝缘细线悬挂着的闭合圆环.现用条形磁铁的N极从较远处靠近A环,则下列说法正确的是

  A.靠近的过程中,从右向左看,环中有逆时针方向的电流

  B.靠近的过程中,从右向左看,环中有顺时针方向的电流

  C.磁铁静止后,环中仍有原方向的电流 

  D.磁铁静止后,环中无电流

试题详情

7.中国于2007年10月24日18时05分在西昌卫星  发射中心用长征三号甲运载火箭成功发射了“嫦娥一号”月球卫星.卫星在地球轨道近地点上经历三次加速变轨后由地月转移轨道进入月球轨道,然后又在月球轨道近月点上经历三次近月制动,最后进入127分钟工作轨道,如图所示.下列有关“嫦娥一号”月球卫星的说法正确的是

  A.卫星在地球轨道上变轨后机械能增大

  B.卫星在地球轨道上变轨后运行周期变小

  C.卫星在月球轨道上变轨后机械能增大 

  D.卫星在月球轨道上变轨后运行周期变小

试题详情


同步练习册答案