0  312297  312305  312311  312315  312321  312323  312327  312333  312335  312341  312347  312351  312353  312357  312363  312365  312371  312375  312377  312381  312383  312387  312389  312391  312392  312393  312395  312396  312397  312399  312401  312405  312407  312411  312413  312417  312423  312425  312431  312435  312437  312441  312447  312453  312455  312461  312465  312467  312473  312477  312483  312491  447090 

9.某单位有15名成员,其中男性10人,女性5人,现需要从中选出6名成员

组成考察团外出参观学习,如果按性别分层,并在各层按比例随机抽样,则此

考察团的组成方法种数是(  )

A.  B.   C.   D.

试题详情

8.设,且,则          (   )

  A.  B. C.   D.   

试题详情

7.设随机变量的概率分布为其中C为常数,则的值为(  )

A.   B.     C.  D.

试题详情

6.、b的值分别为   (  )

  A.  B.  C. D.

试题详情

5.若

-的值为    (  )

A、0    B、-1     C、1      D、

试题详情

3.在首项为81, 公差为-7的等差数列{a}中, 值最接近零的项是(  ) 

A. 第11项    B. 第12项    C. 第13项   D. 第14项

4函数y=f(x)的反函数的图象  (  )

  A.关于点(-3,-2)对称 B.关于点(-2,-3)对称

  C.关于直线y=-2对称   D.关于直线x=-3对称

试题详情

2.圆x+y-4x-2y+c=0与y轴交于A、B两点, 圆心为P, 若APB=90, 则c 的值为(  ) 

A. -8      B. 8      C. -3     D. 3

试题详情

1.若复数为虚数单位)是纯虚数,则实a的值为  ( )

  A.6     B.-6    C.5     D.-4

试题详情

17.解(1) 

 

解法一:(Ⅰ)因为点P在椭圆C上,所以,a=3.

在Rt△PF1F2中,故椭圆的半焦距c=,

从而b2=a2c2=4,

  所以椭圆C的方程为=1.

(Ⅱ)设AB的坐标分别为(x1,y1)、(x2,y2).

  从而=

=-=………………10分

由上-=

试题详情

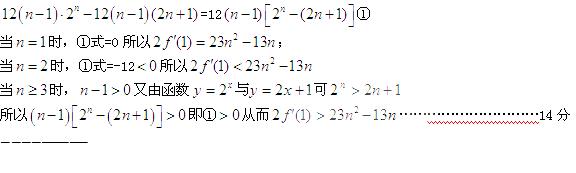
22.(本题14分) 已知数列的首项项和为,且+5

(I)证明数列是等比数列;

(II)令,求函数在点处的导数并比较的大小.

所以函数f(x)的值域为,但1所以值域还是.

试题详情


同步练习册答案