0  315622  315630  315636  315640  315646  315648  315652  315658  315660  315666  315672  315676  315678  315682  315688  315690  315696  315700  315702  315706  315708  315712  315714  315716  315717  315718  315720  315721  315722  315724  315726  315730  315732  315736  315738  315742  315748  315750  315756  315760  315762  315766  315772  315778  315780  315786  315790  315792  315798  315802  315808  315816  447090 

4.依次填入下面一段文字横线处的语句,衔接最恰当的一组是(  )

从文化学和民俗学的角度看,一个民族的情感与精神是要以一系列特定的方式作为载体的。这种方式就是民俗。                     。     。从这个意义上说,民俗是固定的,严格的,不能随心所欲的删改与添加。

①虽然在民俗的传衍中也会发生变异  ②否则,很难成为民俗的内容

③是共同遵循的文化规范与仪式    ④民俗不是政令法律

⑤但这种变异一定要经过长时间的接受过程而最终被共同认可

⑥但它是经过一代代认同、接受和传承下来的

A.①⑤②④⑥③   B.①⑤④⑥③②   C.④③①②⑥⑤   D.④⑥③①⑤②

试题详情

3.下列句子中,没有语病的一项是(   )

A.2009国庆阅兵直播在各地34辆彩车通过天安门广场中心区时,天安门广场上将展开一幅面积近2万平方米左右的《江山如此多娇》的巨型国画。

B.过度劳累为何引起健康透支?有关专家认为,最严重的问题不是加班,而是巨大的压力导致休息时间也无法彻底放松心情所致。

C.原香港中文大学校长、被誉为光纤之父的高锟教授获得2009年诺贝尔物理学奖,这一殊荣源自他在有关光在纤维中的传输以用于光学通信方面做出的突破性成就。

D.我国在2009年里再次出台促进农业发展的一系列激励政策、调控政策和财政政策,极大地激发和调动了广大农民的积极性。

试题详情

2.下面语段中画线的词语,使用不恰当的一项是(   )

创业板刚刚揭开面纱,暴富神话就开始演绎,而且,高潮迭起,令人眼花缭乱、  目不暇接。以目前的创业板市场来看,财富不是无中生有,而是源于某种资产与成本的“转移”。对于创业板的发展而言,暴富神话可能使创业者丧失斗志,转而以投机和欺骗,以渡过套现日为主要目的,从而与创业板设立的初衷大相径庭。随着越来越多的人这样做,创业板市场可能成为骗子粉墨登场、实现瞬间暴富的摇篮。

A.眼花缭乱   B.目不暇接   C.大相径庭   D.粉墨登场

试题详情

1.下列各组词语中加点的字读音完全相同的一组是(   )

A.中流/中肯   感喟/匮乏    遒劲/集腋成裘

B.漂白/漂洗   角色/角斗    屏除/屏气凝神

C.祈祷/颀长   梦魇/笑靥    歆羡/万马齐喑

D.拮据/狡黠   辟邪/辟谣    洗濯/擢发难数

试题详情

18.(9分)A、B、D是三种常见的短周期元素,它们的原子序数逐渐增大,B是第三周期中离子半径最小的元素,且其原子最外层电子数为D元素原子最外层电子数的一半。A元素原子最外层电子数比B多一个。甲、乙、丙是三种元素最高价含氧酸的含钠元素的盐,甲中含B元素,乙中含D元素,丙中含A元素。甲、丙的水溶液均有较强的碱性,乙的水溶液pH小于7。戊为淡黄色固体。甲、乙、丙、丁、戊、己六种物质之间的相互反应关系如下图:(图中略去了物质转化时的部分生成物)

   

   回答下列问题:

  (1)B的元素符号为:          ;乙的化学式为          

  (2)己溶液与丙溶液反应的离子方程式为          

  (3)若乙溶液不足量,乙溶液分别和甲、丙溶液也能发生反应;但生成物不是己和丁,写出将少量的乙溶液滴入甲溶液反应的离子方程式:          

  (4)若用乙溶液为标准液来滴定未知浓度的丙溶液,则乙应当盛放在     滴定管中(填酸式、碱式)。若选用酚酞为指标剂,则滴定终点的产物为       

  19.(13分)某兴趣小组的学生根据Mg与CO2反应原理推测钠也能在CO2中燃烧,为了确定其产物并进行实验论证,某同学设计了下列装置进行实验(已知PdCl2能被CO还原得到黑色的Pd)。请回答下列问题:

  (1)上图装置2中应盛放      溶液。

  (2)为了使反应随开随用,随关随停,上图方框内应选用     装置(填上图字母代号)。

  (3)检查装置的气密性完好并装好药品后,在点燃酒精灯前,应先进行1装置的操作,待装置       (填数字编号)中出现     现象时,再点燃酒精灯,这步操作的目的是       

  (4)①若装置6中有黑色沉淀生成,装置4中残留固体(只有一种物质)加盐酸后有能使澄清石灰水变浑浊的气体放出,则钠与二氧化碳反应的化学方程式为     。②若装置6中溶液无明显现象,装置4中残留固体(有两种物质)加盐酸后有能澄清石灰水变浑浊的气体放出,则钠与二氧化碳反应的化学方程式为       

  (5)该小组查阅资料认为,不仅要检验残留固体中是否有碳酸钠还要检验其中是否有氧化钠和碳。当确认钠充分反应后,请你设计一个简单实验,验证装置4中的残留固体中是否有Na2CO3、Na2O和C:           

  20.(11分)下图表示各物质之间的转化关系。已知A、D、F、H均为单质,X常温下为无色液体,B为淡黄色固体,J溶于酸得到黄色溶液。

   请按要求填空:

  (1)写出B的电子式:            

  (2)反应⑤的现象是             

  (3)反应①的化学反应方程式是      ;在实验室引发反应④的操作是    

  (4)反应⑥的离子方程式是            

  (5)写出上述电解装置中阴极的电极反应式        

  21.(12分)已知:

     现将A进行如下图所示反应,已知:D的相对分子质量比E小,B不能发生银镜反应,F可使溴水褪色,且其中含甲基。

   试回答下列问题:

  (1)写出下列物质的结构简式:A       C      D     

     A中所含的官能团名称:            

  (2)写出反应①和②的反应类型:反应①       反应②      

  (3)写出下列变化的化学方程式:①F→G     ②A→H     

试题详情

17.(7分)2009年3月底至4月中旬,墨西哥、美国等多国接连暴发甲型H1N1型流感疫情,随后也不断蔓延我国各地。防控专有表示,含氯消毒剂和过氧化物消毒可防甲型H1N1流感。

  (1)二氧化氯是目前国际上公认的第四代高效、无毒的广谱消毒剂,它可由KClO3在H2SO4存在的条件下与Na2SO3反应制得。请写出反应的离子方程式       

  (2)过碳酸钠是一种有多种用途的新型氧系固态漂白剂,化学式可表示为Na2CO3·3H2O2,它具有Na2CO3和H2O2的双重性质。过碳酸钠下列物质均会发生化学反应而失效,其中过碳酸钠只发生了还原反应的是        

        A.MnO2       B.KMnO4溶液    C.稀盐酸        D.Na2SO3溶液

  (3)漂白剂亚氯酸钠(NaClO2)在常温黑暗处可保存一年,但亚氯酸不稳定可分解,反应的离子方程式为:HClO2→ClO2↑+H++Cl-+H2O(未配平)。当1mol HClO2发生分解反应时,转移的电子个数是       

试题详情

16.将一定量的镁和铜组成的混合物加入到稀硝酸中,金属完全溶解(假设反应中还原产物只有NO)。向反应后的溶液中加入3mol/L NaOH溶液至沉淀完全,测得生成沉淀的质量比原合金的质量增加5.1g。则下列叙述中不正确的是                    (   )

    A.当生成的沉淀量达到最大时,消耗NaOH溶液的体积V≥100mL

    B.当金属全部溶解时收集到NO气体的体积一定为2.24L

    C.参加反应的金属的总质量为9.6g>m>3.6g

    D.当金属全部溶解时,参加反应的硝酸的物质的量一定是0.4mol

试题详情

15.一定温度下,在体积为VL的密闭容器中加入1molX和1molY进行如下反应:

   X(g)+Y(g)    2Z(g)+W(s);△H>0达到平衡,下列判断正确的是       (   )

    A.向平衡混合物中加入少量W,正、逆反应速率均增大

    B.平衡后加入X,上述反应的△H增大

    C.温度不变,将容器的体积变为2VL,Z的平衡浓度变为原来的1/2

    D.当容器中混合气体的压强不变时,容器内混合气体的平均相对分子质量不再变化

试题详情

13.高铁电池是一种新型可充电电池,与普通高能电池相比,该电池能长时间保持稳定的放电电压。高铁电池的总反应为:

放电
 
 

充电
 
   3Zn+2K2FeO4+8H2O     3Zn(OH)2+2Fe(OH)3+4KOH,下列叙述不正确的是(   )

    A.放电时负极反应为:Zn-2e-+2OH=Zn(OH)2

    B.充电时阳极反应为:F1e(OH)3-3e-+5OH-=F1eO2-4+4H2O

    C.放电时每转移3mol电子,正极有1molK2FeO4被还原

    D.放电时正极附近溶液的pH不变

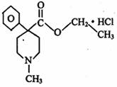
  14.国际奥委会公布的违禁药物目前有一百多种,某种兴奋剂的结构如图,关于它的说法正确的是                          (   )

    A.该物质是芳香烃

    B.它的分子中所有碳原子共平面

    C.1mol该物质最多能与2mol氢氧化钠反应

    D.1mol该物最多能与4molH2发生加成反应

试题详情


同步练习册答案