0  336279  336287  336293  336297  336303  336305  336309  336315  336317  336323  336329  336333  336335  336339  336345  336347  336353  336357  336359  336363  336365  336369  336371  336373  336374  336375  336377  336378  336379  336381  336383  336387  336389  336393  336395  336399  336405  336407  336413  336417  336419  336423  336429  336435  336437  336443  336447  336449  336455  336459  336465  336473  447090 

   人民币被誉为中国的名片。目前人民币一共发行了五套,一些风景被印在它们背面。读图4完成7-8题。 

7.图中四种地貌景观与其成因对应正确的是

    A.甲--内外力共同作用        B.乙--断层下陷 

C.丙--背斜顶部侵蚀         D.丁--冰川侵蚀

8.丁地所受侵蚀作用最强的季节是

    A.春季   B.夏季   C.秋季   D.冬季  

试题详情

7.黑盒问题。

如果黑盒内只有电阻,分析时,从阻值最小的两点间开始。

例题分析

例1:已知如图,E =6V,r =4Ω,R1=2Ω,R2的变化范围是0~10Ω。求:①电源的最大输出功率;②R1上消耗的最大功率;③R2上消耗的最大功率。

解:①R2=2Ω时,外电阻等于内电阻,电源输出功率最大为2.25W;

R1是定植电阻,电流越大功率越大,所以R2=0时R1上消耗的功率最大为2W;

③把R1也看成电源的一部分,等效电源的内阻为6Ω,所以,当R2=6Ω时,R2上消耗的功率最大为1.5W。

例2:如图,电源的内阻不可忽略.已知定值电阻R1=10Ω,R2=8Ω.当电键S接位置1时,电流表的示数为0.20A.那么当电键S接位置2时,电流表的示数可能是下列的哪些值?

A.0.28A   B.0.25A   C.0.22A   D.0.19A

解:电键接2后,电路的总电阻减小,总电流一定增大,所以不可能是0.19A.电源的路端电压一定减小,原来路端电压为2V,所以电键接2后路端电压低于2V,因此电流一定小于0.25A.所以只能选C。

例3:如图所示,电源电动势为E,内电阻为r.当滑动变阻器的

触片P从右端滑到左端时,发现电压表V1、V2示数变化的绝对值分

别为ΔU1ΔU2,下列说法中正确的是

A.小灯泡L1L3变暗,L2变亮   

B.小灯泡L3变暗,L1L2变亮

C.ΔU1<ΔU2      

D.ΔU1>ΔU2

解:滑动变阻器的触片P从右端滑到左端,总电阻减小,总电流增大,路端电压减小。与电阻蝉联串联的灯泡L1L2电流增大,变亮,与电阻并联的灯泡L3电压降低,变暗。U1减小,U2增大,而路端电压U= U1+ U2减小,所以U1的变化量大于 U2的变化量,选BD。

例4:如图所示,图线a是某一蓄电池组的伏安特性曲线,图线b是一只某种型号的定值电阻的伏安特性曲线.若已知该蓄电池组的内阻为2.0Ω,则这只定值电阻的阻值为______Ω。现有4只这种规格的定值电阻,可任意选取其中的若干只进行组合,作为该蓄电池组的外电路,则所组成的这些外电路中,输出功率最大时是_______W。

解:由图象可知蓄电池的电动势为20V,由斜率关系知外电阻阻值为6Ω。用3只这种电阻并联作为外电阻,外电阻等于2Ω,因此输出功率最大为50W。

例5:如图所示,电路中ab是一段长10 cm,电阻为100Ω的均匀电阻丝。两只定值电阻的阻值分别为R1=80Ω和R2=20Ω。当滑动触头Pa端缓慢向b端移动的全过程中灯泡始终发光。则当移动距离为____cm时灯泡最亮,移动距离为_____cm时灯泡最暗。

解:当P移到右端时,外电路总电阻最小,灯最亮,这时aP长10cm。当aP间电阻为20Ω时,外电路总电阻最大,灯最暗,这时aP长2cm。

例6:如图所示,黑盒有四个接线柱,内有4只阻值均为6Ω的电阻,每只电阻都直接与接线柱相连。测得Rab=6Ω,Rac=Rad=10Ω。Rbc=Rbd=Rcd=4Ω,试画出黑盒内的电路。

解:由于最小电阻是Rbc=Rbd=Rcd=4Ω,只有2只6Ω串联后再与1只6Ω并联才能出现4Ω,因此bccddb间应各接1只电阻。再于ab间接1只电阻,结论正合适。

 

试题详情

6.断路点的判定。

当由纯电阻组成的串联电路中仅有一处发生断路故障时,用电压表就可以方便地判定断路点:凡两端电压为零的用电器或导线是无故障的;两端电压等于电源电压的用电器或导线发生了断路

试题详情

5.滑动变阻器的两种特殊接法。

在电路图中,滑动变阻器有两种接法要特别引起重视:

⑴右图电路中,当滑动变阻器的滑动触头Pa端滑向b端的过程中,到达中点位置时外电阻最大,总电流最小。所以电流表A的示数先减小后增大;可以证明:A1的示数一直减小,而A2的示数一直增大。

⑵右图电路中,设路端电压U不变。当滑动变阻器的滑动触头Pa端滑向b端的过程中,总电阻逐渐减小;总电流I逐渐增大;RX两端的电压逐渐增大,电流IX也逐渐增大(这是实验中常用的分压电路的原理);滑动变阻器r左半部的电流I / 先减小后增大。

试题详情

4.闭合电路的U-I图象。

右图中a为电源的U-I图象;b为外电阻的U-I图象;两者的交点坐标表示该电阻接入电路时电路的总电流和路端电压;该点和原点之间的矩形的面积表示输出功率;a的斜率的绝对值表示内阻大小; b的斜率的绝对值表示外电阻的大小;当两个斜率相等时(即内、外电阻相等时图中矩形面积最大,即输出功率最大(可以看出当时路端电压是电动势的一半,电流是最大电流的一半)。

试题详情

3.变化电路的讨论。

闭合电路中只要有一只电阻的阻值发生变化,就会影响整个电路,使总电路和每一部分的电流、电压都发生变化。讨论依据是:闭合电路欧姆定律、部分电路欧姆定律、串联电路的电压关系、并联电路的电流关系。以右图电路为例:设R1增大,总电阻一定增大;由I一定减小;由U=E-IrU一定增大;因此U4I4一定增大;由I3= I-I4I3U3一定减小;由U2=U-U3U2I2一定增大;由I1=I3 -I2I1一定减小。总结规律如下:

①总电路上R增大时总电流I减小,路端电压U增大;

②变化电阻本身和总电路变化规律相同;

③和变化电阻有串联关系(通过变化电阻的电流也通过该电阻)的看电流(即总电流减小时,该电阻的电流、电压都减小);

④和变化电阻有并联关系的(通过变化电阻的电流不通过该电阻)看电压(即路端电压增大时,该电阻的电流、电压都增大)。

试题详情

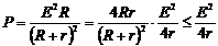
2.电源的功率和效率。

⑴功率:①电源的功率(电源的总功率)PE=EI

②电源的输出功率P=UI

③电源内部消耗的功率Pr=I 2r

⑵电源的效率:(最后一个等号只适用于纯电阻电路)

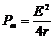
电源的输出功率,可见电源输出功率随外电阻变化的图线如图所示,而当内外电阻相等时,电源的输出功率最大,为

试题详情

目的要求

复习闭合电路的欧姆定律及其应用。

知识要点

1.主要物理量。

研究闭合电路,主要物理量有ErRIU前两个是常量,后三个是变量。闭合电路欧姆定律的表达形式有:

(1)E=U+U

(2) (IR间关系)

(3)U=E-Ir(UI间关系)

(4)(UR间关系)

从(3)式看出:当外电路断开时(I = 0),路端电压等于电动势。而这时用电压表去测量时,读数却应该略小于电动势(有微弱电流)。当外电路短路时(R = 0,因而U = 0)电流最大为Im=E/r(一般不允许出现这种情况,会把电源烧坏)。

试题详情

4.电路中有关电容器的计算。

⑴电容器跟与它并联的用电器的电压相等。

⑵在计算出电容器的带电量后,必须同时判定两板的极性,并标在图上

⑶在充放电时,电容器两根引线上的电流方向总是相同的,所以要根据正极板电荷变化情况来判断电流方向

⑷如果变化前后极板带电的电性相同,那么通过每根引线的电荷量等于始末状态电容器电荷量的差;如果变化前后极板带电的电性改变,那么通过每根引线的电荷量等于始末状态电容器电荷量之和

例题分析

例1:已知如图,R1=6Ω,R2=3Ω,R3=4Ω,则接入电路后这三只电阻的实际功率之比为_________。

解:本题解法很多,注意灵活、巧妙。经过观察发现三只电阻的电流关系最简单:电流之比是I1I2I3=1∶2∶3;还可以发现左面两只电阻并联后总阻值为2Ω,因此电压之比是U1U2U3=1∶1∶2;在此基础上利用P=UI,得P1P2P3=1∶2∶6

例2:已知如图,两只灯泡L1L2分别标有“110V,60W”和“110V,100W”,另外有一只滑动变阻器R,将它们连接后接入220V的电路中,要求两灯泡都正常发光,并使整个电路消耗的总功率最小,应使用下面哪个电路?

A.        B.        C.       D.

解:A、C两图中灯泡不能正常发光。B、D中两灯泡都能正常发光,它们的特点是左右两部分的电流、电压都相同,因此消耗的电功率一定相等。可以直接看出:B图总功率为200W,D图总功率为320W,所以选B。

例3:实验表明,通过某种金属氧化物制成的均匀棒中的电流I跟电压U之间遵循I =kU 3的规律,其中U表示棒两端的电势差,k=0.02A/V3。现将该棒与一个可变电阻器R串联在一起后,接在一个内阻可以忽略不计,电动势为6.0V的电源上。求:⑴当串联的可变电阻器阻值R多大时,电路中的电流为0.16A?⑵当串联的可变电阻器阻值R多大时,棒上消耗的电功率是电阻R上消耗电功率的1/5?

解:画出示意图如右。

⑴由I =kU 3I=0.16A,可求得棒两端电压为2V,因此变阻器两端电压为4V,由欧姆定律得阻值为25Ω。

⑵由于棒和变阻器是串联关系,电流相等,电压跟功率成正比,棒两端电压为1V,由I =kU3得电流为0.02A,变阻器两端电压为5V,因此电阻为250Ω。

例4:左图为分压器接法电路图,电源电动势为E,内阻不计,变阻器总电阻为r。闭合电键S后,负载电阻R两端的电压U随变阻器本身ab两点间的阻值Rx变化的图线应最接近于右图中的哪条实线?

A.①   B.②    C.③   D.④

解:当Rx增大时,左半部分总电阻增大,右半部分电阻减小,所以R两端的电压U应增大,排除④;如果没有并联R,电压均匀增大,图线将是②;实际上并联了R,对应于同一个Rx值,左半部分分得的电压将比原来小了,所以③正确,选C。

例5:已知如图,电源内阻不计。为使电容器的带电量增大,可采取以下那些方法:

A.增大R1   B.增大R2

C.增大R3   D.减小R1

解:由于稳定后电容器相当于断路,因此R3上无电流,电容器相当于和R2并联。只有增大R2或减小R1才能增大电容器C两端的电压,从而增大其带电量。改变R3不能改变电容器的带电量。因此选BD。

例6:已知如图,R1=30Ω,R2=15Ω,R3=20Ω,AB间电压U=6V,A端为正C=2μF,为使电容器带电量达到Q =2×10- 6C,应将R4的阻值调节到多大?

解:由于R1 R2串联分压,可知R1两端电压一定为4V,由电容器的电容知:为使C的带电量为2×10-6C,其两端电压必须为1V,所以R3的电压可以为3V或5V。因此R4应调节到20Ω或4Ω。两次电容器上极板分别带负电和正电

还可以得出:当R4由20Ω逐渐减小的到4Ω的全过程中,通过图中P点的电荷量应该是4×10-6C,电流方向为向下

试题详情


同步练习册答案