0  336368  336376  336382  336386  336392  336394  336398  336404  336406  336412  336418  336422  336424  336428  336434  336436  336442  336446  336448  336452  336454  336458  336460  336462  336463  336464  336466  336467  336468  336470  336472  336476  336478  336482  336484  336488  336494  336496  336502  336506  336508  336512  336518  336524  336526  336532  336536  336538  336544  336548  336554  336562  447090 

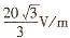
19.如图所示,A、B、C、D、E、F,为匀强电场中一个边长为10cm的正六边形的六个顶点,A、B、C三点电势分别为1 .0v、2.OV、3.Ov,则下列说法正确的是   (   )

(A)匀强电场的场强大小为10V/m

(B)匀强电场的场强大小为

(C)电荷量为的正点电荷从E点移到F点,电荷克服电场力做功为

(D)电荷量为的负点电荷从F点移到D点,电荷的电势能减少

试题详情

18.一列简谐横波某时刻的波形如图中实线所示,经过0. 5s后的波形如图中的虚线所示。

  已知波的周期为T,且0. 25s< T<O. 5s,则   (   )

(A)当波向+x方向传播时,波速等于10m/s

(B)不论波向x轴哪一方向传播,在这0. 5s内,x=1m处的质点M通过的路程都相等

(c)当波沿+x方向传播时,x=1m处的质点M和x =2.5m处的质点N在这0.5s内通过的路程不相等

  (D)当波沿-x方向传播时,经过0.1 s时,质点M的位移一定为零

试题详情

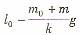
17.如图所示,劲度系数为K的轻弹簧竖直固定在水平面上,上端固定一质量为的托盘,

  托盘上有一个质量为m的木块。用竖直向下的力将原长为的弹簧压缩后突然撤去

外力,则m即将脱离时的弹簧长度为   (  )

(A)   (B)

(C)   (D)

试题详情

16.某原子核吸收宇宙线中的中子后放出质子生成半衰期为5730年的,使自然界及活体生物中含量维持一定。若探测到某遗址中木片的含量减少了1/2,关于A、Z之值及古木死亡时间t距今多少年,下述正确的是   (   )

  ( A)A =14.Z =7;t =2865   (B)A= 14,Z =7;t =5730

  (C)A= 15,Z =8;t =2865   (D)A =15.Z =8;t =11460

试题详情

15.下列说法中正确的是   (   )

  (A)气体的温度升高时,分子的热运动变得剧烈,分子的平均动能增大,撞击器壁时对器壁的作用力增大,从而气体的压强一定增大

  (B)一定质量的气体吸收热量的同时体积减小则温度一定增加

  (C)压缩一定量的气体,气体的内能一定增加

  (D)分子a从远处趋近固定不动的分子b,只受分子之间作用力,当a到达受b的作用力为零处时,a的动能一定最大。

试题详情

14.处于n=3激发态的大量氢原子向基态跃迁时所放出的光子中,只有一种光子不能使金属A产生光电效应,则下列说法中正确的是(  )

  (A)这种不能使金属A产生光电效应的光子一定是从n=3激发态跃迁到n=2激发态时放出的

  ( B)这种不能使金属A产生光电效应的光子一定是从n=3激发态直接跃迁到基态时放出的

  (c)若从n=4激发态跃迁到n=3激发态,所放出的光子有可能使金属A产生光电效应

  (D)若从n=4激发态跃迁到n=2激发态,所放出的光子一定能使金属A产生光电效应

试题详情

12.下列离子方程式正确的是   (   )

   (A)在NaOH溶液中加入过量的

   (B)盐酸与氢氧化钠溶液发生中和反应:

   (c)向溶液中加入铜片:

   (D) 溶于盐酸:

13 2009年甲型流感疫情在全球暴发,继‘‘非典”之后,又一场抗击全球性传染病的战斗打响了。我国莱茵生物公司从中药八角中提取莽草酸,再经过十几步反应合成的达菲因此变得供不应求。已知莽草酸和达菲的结构式如下:

下列关于莽草酸和达菲的判断不正确的是:

  (A)它们都能使溴的四氯化碳溶液褪色   (B)莽草酸的分子式为

  (C)达菲在热的NaOH溶液中不能稳定存在 (D)达菲的分子中含有酯基、苯环等结构

试题详情

11.设以为阿伏伽德罗常数,下列叙述正确的是   (  )

  (A) 24g镁原子的最外层电子数为   (B) 乙酸溶液中H+数为o.1M

  (C) 22.4L氢气中所含分子数目为。   (D) 1mol甲烷分子所含质子数为10,

试题详情

10.下列叙述中不正确的是   (   )

   (A)在0.Imol/L的溶液中,

   (B)在NaHS溶液中,

   (C)若混合液显酸性,则溶液中

   (D) 的HCI溶液与溶液充分混合后,若混合后溶液体积为20mL,则pH= 12

试题详情

9.下列各组中的两种固态物质熔化(或升华)时,克服的微粒间相互作用力属于同种类型的是(   )

  (A)碘和碘化钠         (B)金刚石和重晶石

  (C)冰醋酸和硬脂酸甘油酯     (D)干冰和二氧化硅

试题详情


同步练习册答案