0  336347  336355  336361  336365  336371  336373  336377  336383  336385  336391  336397  336401  336403  336407  336413  336415  336421  336425  336427  336431  336433  336437  336439  336441  336442  336443  336445  336446  336447  336449  336451  336455  336457  336461  336463  336467  336473  336475  336481  336485  336487  336491  336497  336503  336505  336511  336515  336517  336523  336527  336533  336541  447090 

10.补写出下列名句名篇中的空缺部分。(8分)

(1)若夫乘天地之正,      ▲     。(庄子《逍遥游》)

(2)悉以咨之,然后施行,      ▲     ,有所广益。(诸葛亮《出师表》)

(3)吾师道也,     ▲      ?(韩愈《师说》)

(4)黄鹤之飞尚不得过,      ▲     。(李白《蜀道难》)

(5)呜呼!     ▲     ,吾庐独破受冻死亦足!(杜甫《茅屋为秋风所破歌》)

(6)     ▲     ,檐牙高啄。(杜牧《阿房宫赋》)

(7)阳春之曲,    ▲    ;盛名之下,    ▲    。(《后汉书·黄琼传》)

试题详情

4.元宵灯会上,不少对联没人能对上。有人说,现在谁还会对对联啊;也有人说,是因为上联拟得不好。请细读右面这幅题为“请对下联”的漫画,按要求回答后面的问题。(5分)

(1)从不同角度说说这幅漫画反映了怎样的文化现象。(3分)   

答:          ▲             

(2)这幅漫画引发了你怎样的思考?(2分)                   

答:          ▲             

 

试题详情

3.用一句话概括下面这则新闻的主要内容。(4分)(不超过35个字)

2月下旬,商务部、工信部已联合展开针对劳动密集型行业应对人民币升值的压力测试。3月下旬财政部或将派出调研组赴广东、浙江、江苏三省及上海市进行范围更广的人民币汇率压力测试,以期掌握不同贸易类型行业、不同贸易企业在应对人民币升值问题上的压力差异。如此频繁的压力测试背后,是中国与西方国家特别是美国在贸易问题上的激烈交锋。美国国会130名议员致信财长盖特纳和商务部长骆家辉,要求奥巴马政府在4月份发布有关汇率操纵的定期报告时,将中国列为汇率操纵国之一。

答:                 ▲                           

试题详情

2.下列各句中,加点的成语使用恰当的一句是 (3分)

A.锦绣家园社区的张大妈是大家公认的热心人,一听说南方遭受严重旱灾,马上义形于色,不仅自己带头捐款,还积极协助动员社区群众参加赈灾行动。

B.这个企业成功的秘诀就在于时时刻刻把消费者的利益放在第一位,做出的质量承诺从来都是一言九鼎,决不允许有任何糊弄甚至坑害消费者的事情发生。

C.“我们要坚定信心,华山再高,顶有过路。解决困难唯一的办法、出路和希望在于我们自己的努力。”李坚的话每个字都掷地有声,震撼了与会者的心灵。

D.目前整个房地产行业正扮演一个巨大的吸金“黑洞”角色,引起“两会”代表的热议,大家见仁见智,一致认为必须用断腕的手段,才能遏制住高房价。

试题详情

1.下列词语中加点的字,每对读音都不相同的一组是 (3分)

   A.瘦/足适履      挺/概大意       寒/颤巍巍

   B.跷/独辟径      积/万头动       聚/积居奇

   C.首/无之谈      耗/百不挠       天/肩接踵

   D.褪/和颜悦      呜/狼吞虎       恫/杀鸡

试题详情

22.(14分)已知数列的前项和满足

    (1)写出数列的前三项

    (2)求数列的通项公式;

    (3)证明:对任意的整数,有

试题详情

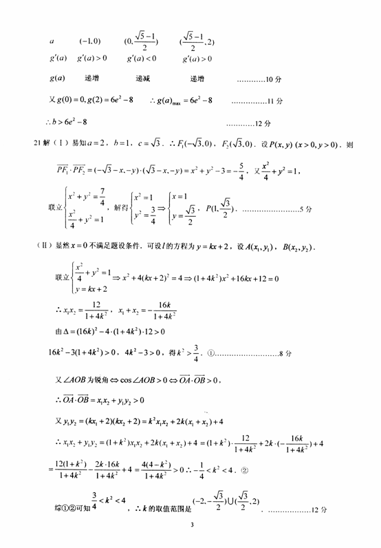
21.(12分)已知分别是椭圆的左、右焦点。

    (I)若P是第一象限内该椭圆上的一点,,求点P的坐标;

    (II)设过定点M(0,2)的直线与椭圆交于同的两点A、B,且为锐角(其中O伟坐标原点),求直线的斜率的取值范围。

试题详情


同步练习册答案