0  336936  336944  336950  336954  336960  336962  336966  336972  336974  336980  336986  336990  336992  336996  337002  337004  337010  337014  337016  337020  337022  337026  337028  337030  337031  337032  337034  337035  337036  337038  337040  337044  337046  337050  337052  337056  337062  337064  337070  337074  337076  337080  337086  337092  337094  337100  337104  337106  337112  337116  337122  337130  447090 

22.(10分)碳、氮元素及其化合物与人类的生产生活密切相关。试回答下列有关问题:

  (1)NH3极易溶于水,其水溶液俗称氨水。用水稀释0.1mol·L-1的氨水,溶液中随着水量的增加而减小的是      (填序号)。

        A.           B.

        C.c(H+)·c(OH-)               D.

  (2)标准状况下,将1.12LCO2通入100mL mol·L-1的NaOH溶液中,所得溶液中离子浓度由大到小的顺序为                    

     用溶液中微粒的浓度符号完成下列等式:

     ①c(OH-)=2c(H2CO3)+                    

②c(H+)+c(Na+)=                      

  (3)甲烷燃料电池中发生的化学反应为:CH4+2O2=CO2+2H2O,该电池的电解质溶液为H2SO4溶液,则原电池工作时电解质溶液中向正极移动的离子是       

试题详情

20.(8分)已知五种周期元素在周期表中的相对位置如下表所示:

a
 
 
 
 
 
 
 
 
 
 
b
c
 
d
 
 
e

  (1)上述元素中离子半径最大的是        (填元素符号)。

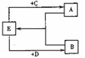
    (2)已知A、B、C、D、E五种化合物均由上述元素中的

几种组成。它们之间的转换关系如图所示,且A、

B、E三种物质含有相同的一种金属元素,C和D分别

是常见的强酸和弱碱,则:①A、B、E所含的该金属

元素的原子结构示意图为         

     ②若将D逐滴滴入A的溶液中至过量,反应过程中的

离子方程式依次为      

  21.(12分)如图甲、乙是电化学实验装置。

  (1)若甲、乙两烧杯中均盛有NaCl溶液。

     ①甲中石墨棒上的电极反应式为               

②乙中总反应的离子方程式为               

③将湿润的淀粉KI试纸放在乙烧杯上方,发现试纸先变蓝后褪色,这是因为过量的Cl2氧化了生成的I2。若反应中Cl2和I2的物质的量之比为5:1,且生成两种酸,该反应的化学方程式为                         

  (2)若甲、乙两烧杯中均盛有CuSO4溶液。

     ①甲中铁棒上的电极反应式为                 

②如果起始时乙中盛有200mLpH=5的CuSO4溶液(25℃),一段时间后溶液的pH变为1,若要使溶液恢复到电解前的状态,可向溶液中加入       (填写物质的化学式)      g。

试题详情

19.(8分)中学常见的某反应的化学方程式为A+B→C+D+H2O(未配平,反应条件略去)。请回答下列有关问题。

  (1)若A是铁,B是稀硝酸(过量),且A可溶于C溶液中。则A与C反应的离子方程式为

                                        

  (2)若C、D均为气体,且都能使澄清石灰水变浑浊,则上述反应的化学方程式为

                                        

  (3)若C是无色刺激性气味的气体,其水溶液呈弱碱性。C能发生催化氧化反应,写出该反应的化学方程式                         

  (4)若D为氯碱工业的主要原料,C是造成温室效应的主要气体之一,则上述的反应的化学方程式为                             

试题详情

18.(11分)反应①Fe(s)+CO2(g)     FeO(s)+CO(g)△H=akJ·mol-1,平衡常数为K;

反应②CO(g)+1/2O2(g)=CO2(g) △H=bkJ·mol-1

测得在不同温度下,K值如下:

温度/℃
500
700
900
K
1.00
1.47
2.40

  (1)若500℃时进行反应①,CO2起始浓度为2mol·L-1,CO的平衡浓度为    

  (2)反应①中的a     0(填大于、小于、等于)。

  (3)700℃反应①达到平衡,要使得该平衡向右移动,其它条件不变时,可以采取的措施有     (填序号)

        A.缩小反应器体积              B.通入CO2

               C.升高温度到900℃             D.使用合适的催化剂

    (4)下列图像符合反应①的是       (填序号)(图中v是速率、为混合物中CO含量,T为温度且T1>T2)

  (5)由反应①和②可求得,反应2Fe(s)+O2(g)=2FeO(s)的△H=     

试题详情

16.在溶液中有浓度均为0.01mol·L-1的Fe3+、Cr3+、Zn2+、Mf2+等离子,已知:

Ksp[Fe(OH)3]=2.6×10-39mol4·L-4;Ksp[Cr(OH)3]=7.0×10-31mol4·L-4

Ksp[Zn(OH)2]=1.0×10-17mol3·L-3;Ksp[Mg(OH)2]=1.8×10-11mol3·L-3

当氢氧化物开始沉淀时,下列哪一种离子所需溶液的pH最小               (   )

    A.Fe3+                    B.Cr3+                     C.Zn2+                    D.Mg2+

第Ⅱ卷(非选择题,共60分)

  17.(11分)某校化学实验兴趣小组欲采用如图所示的实验装置制备Cl2,同时进行与氯气有关的某些实验,按要求回答问题。

  (1)A是浓盐酸,B为二氧化锰,将A滴入B中时发生反应

的离子方程式为    

  (2)甲同学用含有0.2molHCl的浓盐酸与足量的MnO2反应制

Cl2,结果制得的Cl2体积(标准状况下)小于1.12L,

这是由于反应过程中盐酸浓度变小造成的。请列举

导致盐酸浓度变小的原因:          

                      

  (3)在实验室中,乙同学欲用下图中的装置净化氯气,

则瓶①②中应盛放的试剂分别是①       

  ②         (填试剂名称)。

  (4)丙同学将纯净的Cl2通入一定量石灰乳中来制取漂白粉,若通入224mL(标准状况下) Cl2完全反应,则反应过程中转移电子的物质的量为           

试题详情

15.有四种物质的量浓度相等、且都由一价阳离子A+和B+及一价阴离子X-和Y-组成的盐溶液。据测定常温下AC和BY溶液的pH=7,AY溶液的pH>7,BX溶液的pH<7。由此判断可能不水解的盐是                 (   )

    A.BX           B.AX           C.AY           D.BY

试题详情

14.铍(Be)与铝的性质相似,已知反应BeCl2+3NH3·H2O=2NaCl+2Be(OH)2↓能进行完全。据此作出的以下推断中正确的是                                           (   )

    A.常温时,BeCl2溶液pH>7,将其蒸干、灼烧后可得残留物BeCl2

    B.常温时,Na2BeO2溶液pH<7,将其蒸干、灼烧后可得残留物Na2BeO

    C.Be(OH)2既能溶于盐酸,又能溶于NaOH溶液

    D.BeCl2水溶液的导电性较强,说明BeCl2一定是离子化合物

试题详情

13.下列离子方程式正确的是                                         (   )

    A.单质铜与浓硝酸反应:Cu+4HNO3(浓)=Cu2++2NO-3+2NO2↑+2H2O

    B.漂白粉溶液中通入过量CO2:Ca2++2ClO-+CO2+H2O=CaCO3↓+2HClO

    C.碳酸氢钠溶液与过量石灰水反应:

    2HCO-3+Ca2++2OH-=CaCO3↓+2H2O+CO2-3

    D.三氯化铁溶液跟过量氨水反应:Fe3++3NH3·H2O=Fe(OH)3↓+3NH+4

试题详情

12.有关下图及实验的描述正确的是                                    (   )

   

    A.用甲图装置电解精炼铜

    B.用乙图装置制备Fe(OH)2胶体

    C.丙图装置可制得金属锰

    D.丁图验证NaHCO3和Na2CO3热稳定性

试题详情

11.一定条件下,在密闭容器中,能表示反应X(g)+2Y(g)    2Z(g)一定达到化学平衡状态的是                           (   )

    ①X、Y、Z的物质的量之比为1:2:2  

    ②X、Y、Z的浓度不再发生变化

    ③容器中的压强不再发生变化         

    ④单位时间内生成n molZ,同时生成2n molY

    A.①②          B.①④          C.②③          D.③④

试题详情


同步练习册答案