0  337102  337110  337116  337120  337126  337128  337132  337138  337140  337146  337152  337156  337158  337162  337168  337170  337176  337180  337182  337186  337188  337192  337194  337196  337197  337198  337200  337201  337202  337204  337206  337210  337212  337216  337218  337222  337228  337230  337236  337240  337242  337246  337252  337258  337260  337266  337270  337272  337278  337282  337288  337296  447090 

4.棱镜

(1)棱镜对光的偏折作用

一般所说的棱镜都是用光密介质制作的。入射光线经三棱镜两次折射后,射出方向与入射方向相比,向底边偏折。(若棱镜的折射率比棱镜外介质小则结论相反。)

作图时尽量利用对称性(把棱镜中的光线画成与底边平行)。

由于各种色光的折射率不同,因此一束白光经三棱镜折射后发生色散现象(红光偏折最小,紫光偏折最大。)

(2)全反射棱镜

横截面是等腰直角三角形的棱镜叫全反射棱镜。选择适当的入射点,可以使入射光线经过全反射棱镜的作用在射出后偏转90o(右图1)或180o(右图2)。要特别注意两种用法中光线在哪个表面发生全反射。

试题详情

3.边作图边计算

有关光的折射和全反射,在解题时要把计算和作图有机地结合起来,根据数据计算反射角、折射角,算一步画一步,画一步在根据需要算一步。作图要依据计算结果,力求准确。

试题详情

2.各种色光性质比较

可见光中,红光的折射率n最小,频率ν最小,在同种介质中(除真空外)传播速度v最大,波长λ最大,从同种介质射向真空时发生全反射的临界角C最大,以相同入射角在介质间发生折射时的偏折角最小(注意区分偏折角和折射角)。

以上各种色光的性质比较在定性分析时非常重要,一定要牢记。

试题详情

目的要求

复习折射定律和全反射现象。

知识要点

1.光的折射

(1)折射定律:折射定律的各种表达形式:

 (θ1为入、折射角中的较大者。)

(2)折射光路也是可逆的。

(3)全反射。

试题详情

3.光路图作法

(1)根据平面镜成像的特点,在作光路图时,可以先画像,后补光路图。

(2)充分利用光路可逆:在平面镜的计算和作图中要充分利用光路可逆。(眼睛在某点A通过平面镜所能看到的范围和在A点放一个点光源,该电光源发出的光经平面镜反射后照亮的范围是完全相同的。)

(3)利用边缘光线作图确定范围

例题分析

例1:如图所示,画出人眼在S处通过平面镜可看到障碍物后地面的范围。

解:先根据对称性作出人眼的像点S  /,再根据光路可逆,设想S处有一个点光源,它能通过平面镜照亮的范围就是人眼能通过平面镜看到的范围。图中画出了两条边缘光线。

例2:如图所示,用作图法确定人在镜前通过平面镜可看到AB完整像的范围。

解:先根据对称性作出AB的像A/B/,分别作出A点、B点发出的光经平面镜反射后能射到的范围,再找到它们的公共区域(交集)。就是能看到完整像的范围。

试题详情

2.平面镜成像

像的特点:平面镜成的像是正立等大的虚像,像与物关于镜面为对称。

试题详情

目的要求

复习光的反射定律和平面镜成像。

知识要点

1.反射定律。

试题详情

2.光速 

光在真空中的转播速度为c=3.00×108m/s。

⑴光在不同介质中的传播速度是不同的。根据爱因斯坦的相对论光速不可能超过c

⑵近年来(1999-2001年)科学家们在极低的压强(10-9Pa)和极低的温度(10-9K)下,得到一种物质的凝聚态,光在其中的速度降低到17m/s,甚至停止运动。

⑶也有报道称在实验中测得的光速达到1011m/s,引起物理学界的争论。

例题分析

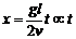
例:如图所示,在A点有一个小球,紧靠小球的左方有一个点光源S现将小球从A点正对着竖直墙平抛出去,打到竖直墙之前,小球在点光源照射下的影子在墙上的运动是  

A.匀速直线运动      B.自由落体运动

C.变加速直线运动     D.匀减速直线运动

解:小球抛出后做平抛运动,时间t后水平位移是vt,竖直位移是h=  gt2,根据相似形知识可以由比例求得,因此影子在墙上的运动是匀速运动。

试题详情

目的要求

复习光在媒质中的传播和光速。

知识要点

1.光在同一种均匀介质中是沿直线传播的。

前提条件是在同一种介质,而且是均匀介质。否则,可能发生偏折。如光从空气斜射入水中(不是同一种介质);“海市蜃楼”现象(介质不均匀)。

当障碍物或孔的尺寸和波长可以相比或者比波长小时,将发生明显的衍射现象,光线将可能偏离原来的传播方向。

解光的直线传播方面的计算题(包括日食、月食、本影、半影问题)关键是画好示意图,利用数学中的相似形等几何知识计算。

试题详情

§1.几何光学

试题详情


同步练习册答案