0  340141  340149  340155  340159  340165  340167  340171  340177  340179  340185  340191  340195  340197  340201  340207  340209  340215  340219  340221  340225  340227  340231  340233  340235  340236  340237  340239  340240  340241  340243  340245  340249  340251  340255  340257  340261  340267  340269  340275  340279  340281  340285  340291  340297  340299  340305  340309  340311  340317  340321  340327  340335  447090 

7.随着汽车、火车、轮船在近代中国的出现,“乘客不分男女座,可怜坐下挤非

常”这样的竹枝词也开始流行起来,这反映了

A.新式交通工具的出现冲击了传统的伦理道德

B.新式交通工具并没有改善人们的出行状况

C.人们对新式交通工具的赞同与认可

D.人们从没有停止过对交通工具改进的追求

试题详情

6.明治维新时期,西服流行的同时,和服被当作最华丽的礼服保留下来;酒吧多起来了,茶室依然是人们的精神净地;西洋歌剧开始唱响,歌剧和歌舞妓也在走向兴盛。这反映了当时的日本

A.用西方文明提升国民的知识水平     

B.引进西方文化以巩固统治

C.本土文化与西方文化的多元共存     

D.西方文明占据主导地位

试题详情

5.据史料记载,明神宗派出大批税监到各地横征暴敛,几乎是“无物不税,无处不税,无人不税”,造成“商贾断绝,城邑罢市”;清朝“关津有过路之税,镇集有落脚之税”,正税之外,还有各种名目的苛捐杂税。上述情况在当时最主要的消极影响是

A.影响了中外贸易的发展                 

B.制约了农产品的商品化    

C.助长了土地兼并的现象                  

D.阻碍了资本主义萌芽的成长

试题详情

4.《礼记》有“天子为籍千亩”,“天子亲耕于南郊,以供斋盛”的记载,《礼经》有仲春“后率外内命妇蚕于北郊”的记载。汉朝以后逐渐形成一种国家礼仪,皇帝和皇后常常在春季举行“藉田礼”和“亲蚕礼”。这表明

A.统治者重视农业生产                B.统治者关心百姓疾苦

     C.统治者常能与民同乐                 D.统治者“以民为本”

试题详情

3.央视播出的《乔家大院》展现了闻名海内外的商业资本家乔致庸的传奇一生,这一时期以晋商为代表的商帮出现的历史条件主要有              

    ①小农经济与市场联系加强       

②小城镇经济空前繁荣

    ③政府放弃歧视商人的政策       

④专卖制度被废除

    A.①②       B.①②③      C.①②④           D.①②③④

试题详情

2.《周礼》将妇女纺织生产称为“妇功”,与王公、士大夫、百工、商旅和农夫并称“国有六职”,这说明      

    A.当时妇女地位高       

B.纺织业在经济生产中的地位已经相当重要      

C.纺织收益高,可与士大夫的俸禄媲美     

D.中国的纺织技术已经相当发达

试题详情

1.唐代诗人王绩在《田家》一诗中写到:“倚床看妇织,登垅课儿锄”。对诗中反映的生产模式表述错误的是                          

    A.农业和家庭手工业相结合         

B.以家庭为生产生活单位

    C.生产是为了生活的需要和缴纳赋税 

D.生产中存在雇佣与被雇佣的关系

试题详情

18.(6分)多数真核生物基因中编码蛋白质的序列被一些不编码蛋白质的序列隔开,每一个不编码蛋白质的序列称为一个内含子。这类基因经转录、加工形成的mRNA中只含有编码蛋白质的序列。某同学为检测某基因中是否存在内含子,进行了下面的实验:

     步骤①:获取该基因的双链DNA片段及其mRNA;

     步骤②:加热DNA双链使之成为单链,并与步骤①所获得的mRNA按照碱基配对原则形成双链分子;

     步骤③:制片、染色、电镜观察,可观察到图中结果。

     请回答:

  (1)图中凸环形成的原因是:          

  (2)如果现将步骤①所获得的mRNA逆转录得到DNA单链,然后该DNA单链与步骤②中的单链DNA之一按照碱基配对原则形成双链分子,理论上也能观察到凸环,其原因是逆转录得到的DNA单链中不含有        序列。

  (3)DNA与mRNA形成的双链分子中碱基配对类型有     种。

试题详情

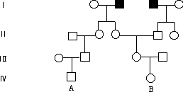
17.(6分)苯丙酮尿症(PKU)是常染色体上基因控制的隐性遗传病,进行性肌营养不良(DMD)是X染色体上基因控制的隐性遗传病。这两种病在人群中非常罕见。请回答下列有关问题:

  (1)右图所示为苯丙酮尿症的系谱图:

如果A和B结婚,若如果他们的第一个孩子是正常的,则他们的第二个孩子患PKU的概率   

  (2)一对表现正常的夫妇,生育一个同时患上述两种遗传病的孩子,该夫妇再生一个表现正常女儿的几率是_       。该夫妇生育的表现正常女儿,成年后与一位表现正常的男性苯丙酮尿症携带者结婚,后代只患一种遗传病的几率是

      _。

试题详情

16.下图表示利用某二倍体农作物①、②两个品种培育④、⑤、⑥三个新品种的过程,Ⅰ-Ⅴ表示育种过程,两对基因独立遗传,分析回答:

  (1)由图中Ⅰ→Ⅱ获得④称为  育种,其育种原理是       

  (2)由图中Ⅰ→Ⅲ→Ⅳ获得④过程称为  育种,其育种原理是    ,该育种方法优点是                 

  (3)图中Ⅳ、Ⅴ过程常用的方法是           

  (4)品种⑥为  倍体,它接受④花粉后结    (有、无)籽果实。

试题详情


同步练习册答案