0  354691  354699  354705  354709  354715  354717  354721  354727  354729  354735  354741  354745  354747  354751  354757  354759  354765  354769  354771  354775  354777  354781  354783  354785  354786  354787  354789  354790  354791  354793  354795  354799  354801  354805  354807  354811  354817  354819  354825  354829  354831  354835  354841  354847  354849  354855  354859  354861  354867  354871  354877  354885  447090 

1. in memory of为了纪念

联想记忆:

in honor of纪念……   in charge of掌管;照顾

in need of需要      in possession of占有

in praise of 为颂扬;赞美……  in favor of赞成,支持;有利于

考点练习:

1)The monument is________ _________ ___________a scientist.

2)If you are _______ _______ _________anything, don’t hesitate to let me know.

3)Can you please tell me who is _________ _______ ___________ distribution.

4)In their discussion, I _________ ________ ____________ Mr. Li.

试题详情

6. benefit

(1)vt.有益于;vi.得益于(常与from, by连用)

The rain benefits the plants.这场雨有益于植物。=

The plants benefit from the rain.  K^S*5U.C#O%下标

(2)n.利益,好处;津贴

a public benefit公益

This dictionary will be of great benefit to me.

拓展:

be of great benefit = very beneficial

试题详情

5. balance

(1)v.权衡;对比,使(重量、重要性或影响)均衡

balance the advantages against the disadvantages权衡利弊

balance the time spent on the main subjects平衡花在主科上的时间

My accounts balance for the first this year.我的账上今年第一次出现收支平衡。

(2)n.天平;平衡

keep one’s balance保持平衡

out of balance = lose one’s balance失去平衡

拓展:

balanced adj.平衡的

a balanced decision折衷的决定

a balanced diet均衡饮食

试题详情

4. apologize vi.道歉;辩白

I must apologize for not being able to meet you. 我必须因没能接你而向你道歉。

拓展:

apologize to sb. for sth. 因某事(为做了某事)向某人道歉

apologize for oneself为自己辩解或辩护

make an apology to sb. for sth.为某事向某人道歉

练习:你太无理了,必须向你姐姐道歉。

___________________________________________________________

You must apologize to your sister for being so rude. =

You must make an apology to your sister for being so rude.

试题详情

3. gain vt.获得;得到。该词有三种含义

(1)表示经过努力一点一点地获得自己渴望的东西

Gain experience, fame/other’s respect, love, trust获得经验、名望/别人的尊敬、爱戴、信任

He has gained rich experience in these years.

(2)表示速度、重量等慢慢增加

He gained weight after recovery from his illness.康复后他的体重增加了。

The plane quickly gained height after it took up.飞机起飞后迅速增加飞行高度

(3)(钟,表)走快  K^S*5U.C#O%下标

This clock gains five minutes a day. 这只钟每天快5分钟。

拓展:

No pain, no gain. 一分耕耘,一分收获。

试题详情

2. satisfy vt.使满足;使满意;符合(达到)标准  satisfaction n.

Just to satisfy my curiosity, how much did you pay for your car?

It is by no means easy to satisfy everyone. 要满足每一个人绝非易事。

Looking at a beautiful painting always gives one satisfaction. 观赏一幅美丽的图画使人心满意足。K^S*5U.C#O%下标

联想记忆:

satisfy the eye悦目

satisfy the people’s needs满足人民的需要

satisfy one’s desire(curiosity)满足欲望

be satisfied with sth. / sb. 对……感到满意

with satisfaction满意地

satisfactory adj.令人满意的(to),圆满的;符合要求的

far from satisfactory远不能令人满意

考点例题:

Our teacher was ____________ with us. Because our answers are ___________.

A. satisfy; satisfy             B. satisfied; satisfying 

C. satisfied; satisfaction     D. satisfying; satisfied

试题详情

1. forgive vt. 原谅;宽恕

   please forgive me-I didn’t mean to be rude.

I’ll never forgive you for what you have done wrong to your parents.

辨析:forgive, excuse和pardon

excuse常指原谅轻微的过错(用于问路,问事;表示失礼;纠正别人的话;在打喷嚏、打嗝时;插话;表示异议等场合的客套话)。

forgive 有很浓的个人感情色彩,语气较重。

pardon指饶恕严重过错或法律上的犯罪。

Excuse me, but I must say you are completely wrong.

The government pardoned the criminal.政府赦免了那个罪犯。

试题详情

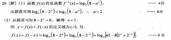
3.(上海春卷20)已知函数,且

  (1)若函数的反函数是其本身,求a的值;

  (2)当时,求函数的最大值。

试题详情

2.(湖南卷理20)已知函数对任意的,恒有

(Ⅰ)证明:当时,

(Ⅱ)若对满足题设条件的任意b,c,不等式恒成立,求M的最小值。

试题详情

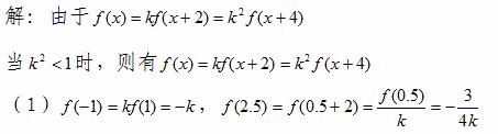
1.(广东卷文20)已知函数对任意实数均有,其中常数为负数,

在区间上有表达式.

(1)求的值;

(2)写出上的表达式,并讨论函数上的单调性;

(3)求出上的最小值与最大值,并求出相应的自变量的取值. w_w*w.k_s_

(2)当时,

时,

时,

f(x)=
 
  

  

c. 当

此时:

试题详情


同步练习册答案