0  355803  355811  355817  355821  355827  355829  355833  355839  355841  355847  355853  355857  355859  355863  355869  355871  355877  355881  355883  355887  355889  355893  355895  355897  355898  355899  355901  355902  355903  355905  355907  355911  355913  355917  355919  355923  355929  355931  355937  355941  355943  355947  355953  355959  355961  355967  355971  355973  355979  355983  355989  355997  447090 

马克思主义从她诞生的那一天起,就不断被共产党人实践发展。回答第20--28题。

20.1848 年《共产党宣言》的发表标志着马克思主义诞生,原因包括

①第一次提出了建立社会主义的目标   ②看到了资本主义制度的血腥性

③阐明了社会发展客观规律,断言资本主义最终必将被社会主义所取代

④揭示了无产阶级历史使命

A.③④  B.②③④  C.①②③④  D.①②

21. 针对战时共产主义政策的弊端,有人对列宁说:“我们过去认为可以一举消灭商品经济,走向社会主义。但实际情况表明,必须发展商品经济。”此后苏维埃政权

  A.采取余粮收集制          B.建立战时经济体制

C.实施新经济政策          D.颁布新的土地法令

22.苏俄实行新经济政策取代“战时共产主义政策”,从根本上说是由于

A. 战时共产主义政策已不适应形势需要  B. 帝国主义经济封锁所导致

C. 苏俄建立社会主义制度的要求所决定  D. 苏俄当时的社会生产力水平所决定

23. “八七会议”前后,中共多次发动以夺取大城市为目标的武装起义,这表明中共

A. 尚未找到正确的革命道路      B. 还未认识到农民是革命的主力

C. 在城市拥有强大的无产阶级     D. 受到王明为代表的“左”的错误的影响

24. 1975年邓小平主持党中央的工作,进行全面整顿,其实质是

  A. 恢复国民经济          B. 纠正“文革”中的“左”的错误       C. 稳定社会秩序          D. 平反冤假错案

25. 邓小平南巡谈话回答的当时束缚和困扰人们思想的重大问题最主要是

  A. 要不要坚持社会主义道路问题   B. 什么是社会主义,怎样建设社会主义的问题

C. 要不要深化改革开放的问题    D. 要不要搞社会主义市场的问题

26. 邓小平l992年南方谈话贯穿的一个中心思想是抓住有利时机,把有中国特色的社会主义事业全面推向前进。就外部环境而言,“有利时机”指的是

A.和平与发展成为时代的主题     B.金融危机使西方国家实力大减

C.世贸组织接纳中国为新成员     D.公正合理的国际新秩序已经建立

27.“一九七九年那是一个春天,有一位老人在中国的南海边画了一个圈。神话般地崛起座座城,奇迹般聚起座座金山”。这首歌曲歌颂了邓小平的丰功伟绩。下列关于个人活动与社会发展关系的叙述,正确的一项是

A.杰出人物的个人活动对社会发展起决定性作用

  B.个人活动符合大多数人的愿望就会对社会发展起推动作用

  C.杰出人物的个人活动对社会发展起着重要作用

D.个人活动对社会发展的作用无大小之分

28. 下列是在天安门广场拍摄的照片。解读两幅图中反映的历史信息,正确的是

图一 1966年哈尔滨学生在广场游行      图二 1984年北大学生在国庆游行

  A.工作中心都已发生转移

B.探索中国特色社会主义道路取得重大突破

  C.民主与法制建设尚待确立

D.两大思想理论体系受到真诚拥护

试题详情

甘地一生都在为祖国的独立解放而奋斗。据此回答第18--19题。

18. 甘地提出“非暴力不合作运动”的根本目的是

  A. 反对英国殖民统治          B. 争取印度的自治

C. 抵制英国的经济侵略         D. 提高印度民族自尊心

19.甘地的“非暴力不合作运动”的措施中,体现其经济上反抗殖民者的是

A.放弃英国殖民当局给予的头衔    B.恢复手工纺织,抵制英货

C.拒绝参加英国殖民当局的宴会    D.从英国人开办的学校中退学

试题详情

 17.孙中山领导的辛亥革命失败的根本原因是

    A. 中国民族资产阶级的软弱性

B. 帝国主义扶植袁世凯,反动势力强大

C. 脱离广大人民群众,缺乏群众基础

D. 资本主义经济发展不充分,革命力量弱小

试题详情

16. 孙中山遗嘱中有:“积四十年之经验,深知欲达目的,必须唤起

民众及联合世界上以平等待我之民族,共同奋斗。”在他一生的斗争

中,下列最典型地体现了这一思想的是

A. 提出三大政策          B. 颁布《中华民国临时约法》

C. 将旧三民主义发展为新三民主义  D. 发表《北上宣言》,谋求国家和平统一

试题详情

15. 在孙中山先生的政治生涯中,能体现右图的题词思想的活动有

①领导辛亥革命,建立资产阶级共和国

②上书李鸿章要求变法改良

③将临时大总统职位让给袁世凯

④改组国民党,促成国共合作

A. ①②③④    B. ②③

C. ①④       D. ①②④

试题详情

14. 在维护民主共和制度方面,孙中山为代表的革命党人采取的斗争方式有 ①议会斗争(政党政治) ②法律手段  ③暴力手段  ④经济手段(抵制日货等)

   A. ①②③④    B. ①②③    C. ①③    D. ②③

试题详情

在早期资产阶级革命时期,英、法、美资产阶级革命领导人为维护资产阶级革命成果,确立资本主义社会立法规范做出了巨大的贡献。据此回答第7--13题。

7. 在下列哪次战役中,克伦威尔率军全歼王军主力,取得决定性的胜利

A.马斯顿草原战役   B.纳西比战役    C.远征爱尔兰之役  D.滑铁卢战役

8. 华盛顿领导的独立战争要解决的最主要矛盾是

A. 美利坚民族与殖民者之间的矛盾

B. 殖民主义与北美资本主义经济发展的矛盾

C. 封建主义与资本主义的矛盾

D. 美国国内的阶级矛盾

9.美国总统华盛顿在其著名的告别演说中,一再告诫“那些领导政府的人们,要谨慎行事,把自己限制在各自的宪法范围内,避免在行使权力时一个部门侵犯其他部门的权力”华盛顿在此非常强调的是

A.中央集权原则        B.自由平等原则

C.分权制衡原则        D.司法独立原则

10. 对1787年宪法的评价,不正确的是

A.带有种族歧视的烙印         B.未能有效地防止独裁和专制

C.具有反封建的进步意义        D.没有废除奴隶制度

11.恩格斯说:“假如不曾有拿破仑这个人,那么他的角色会由另外一个人扮演,这点由下面的事实可以证明,即每当需要这样一个人的时候,他就会出现,如凯撤、克伦威尔等。”其含义是

A. 英雄人物在历史发展过程中并不重要

B. 英雄人物适应时代需要而产生

C. 英雄人物的活动是受历史规律支配的

D. 英雄人物的出现是历史的偶然

12.对1804年拿破仑加冕皇帝这一历史事件的看法,正确的是

  A. 由此法兰西第二帝国诞生     B. 拿破仑的行为完全违背了历史发展的潮流

C. 拿破仑由此成为封建皇帝     D. 拿破仑由此建立了资产阶级军事独裁政权

13.18世纪末至19世纪初,欧洲封建势力与拿破仑统治下的法国进行了旷日持久的战争,最后拿破仑遭到了失败,这从根本上反映了

A.拿破仑的个人力量有限            B.在俄国的惨败使其元气大伤

C.资本主义尚不具备战胜欧洲封建主义的力量   D.拿破仑遭到了法国人民的反对

孙中山是中国民主革命的先行者,毕生致力于中国的民主革命事业。他为中华民族的解放和振兴,建立了不可磨灭的功绩。据此回大第14--17题。

试题详情

6. 对于柏拉图的唯心论的叙述正确的是 

A.世界是由理性世界和感觉世界两部分组成

B.感觉世界真实、完美而永恒

C.物质先于理念存在

D.人们学习过程并不是回忆的过程

试题详情

在我国古代史上,有许多君主,通过一系列文治武功,成为雄才大略、开拓进取的历史人物。据此回答1--5题。

1. 在历史的长河中,总有一些史实历经时间的考验,具有恒久的意义,并成为指引历史发展方向的标志。以下最能够体现上述含义的是

A.秦统一六国    B.光武中兴    C.贞观之治      D.开元盛世

2.武广高铁、郑西高铁的开通,使我国道路交通发展到一个新阶段。秦朝为巩固国家统一,修筑了以咸阳为中心的水陆交通。其中沟通长江水系和珠江水系的是

A.广通渠    B.永济渠    C.邗沟      D.灵渠

3.柳宗元在《封建论》中说:“秦有天下,裂都会而为之郡邑,废侯卫而为守宰。……此其所以为得也。”这句话指的是

A.推行分封制         B.设立郡县制

C.废除郡县制         D.废除行省制

4.对秦始皇南攻越族的战争评价,应着重于

 A. 给越族人民带来的痛苦     B. 加重秦朝人民的负担

C. 进一步扩大了秦朝的疆域    D. 有利于越族地区的开发和多民族国家的发展

5. 唐太宗说:“为君之道,先存百姓。若损百姓以奉其身,犹割股以啖腹,腹饱而身毙。”唐太宗能形成这种可贵的认识,主要因为

A.得益于李斯的不断劝谏       B.非常熟悉《资治通鉴》

C.对隋朝的灭亡感触深刻       D.深受道家学派的影响

  柏拉图学院门口写着“不懂几何学者不得入内。”这句话,千百年来,一直为人们咀嚼、玩味。回答第6题。

试题详情

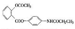
5.(6分)某种解热镇痛药的结构简式如图所示:

当它完全水解时可得到的产物有     种;写出其中含有苯环的产物的结构简式:

                    

焦作市2009-2010学年(下)高二期末测试

试题详情


同步练习册答案