0  361714  361722  361728  361732  361738  361740  361744  361750  361752  361758  361764  361768  361770  361774  361780  361782  361788  361792  361794  361798  361800  361804  361806  361808  361809  361810  361812  361813  361814  361816  361818  361822  361824  361828  361830  361834  361840  361842  361848  361852  361854  361858  361864  361870  361872  361878  361882  361884  361890  361894  361900  361908  447090 

15.(10分)(08年广东化学·27)镁、铜等金属离子是人体内多种酶的辅因子。工业上从海水中提取镁时,先制备无水氯化镁,然后将其熔融电解,得到金属镁。

(1)以MgCl2为原料用熔融盐电解法制备镁时,常加入NaCl、KCl或CaCl2等金属氯化物,其主要作用除了降低熔点之外还有      

(2)已知MgO的晶体结构属于NaCl型。某同学画出的MgO晶胞结构示意图如下图所示,请改正图中错误:          

(3)用镁粉、碱金属盐及碱土金属盐等可以做成焰火。燃放时,焰火发出五颜六色的光,请用原子结构的知识解释发光的原因:        

(4)Mg是第三周期元素,该周期部分元素氟化物的熔点见下表:

氧化物
NaF
MgF2
SiF4
熔点/K
1266
1534
183

解释表中氟化物熔点差异的原因:       

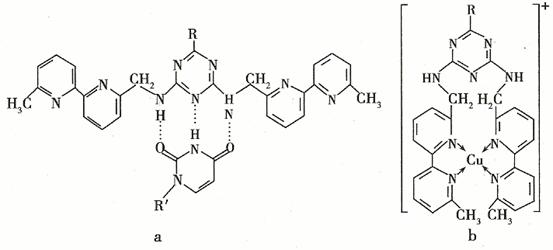
(5)人工模拟是当前研究的热点。有研究表明,化合物X可用于研究模拟酶,当其结合或Cu(I)(I表示化合价为+1)时,分别形成a和b:

①a中连接相邻含N杂环的碳碳键可以旋转,说明该碳碳键具有     键的特性。

②微粒间的相互作用包括化学键和分子间相互作用,比较a和b中微粒间相互作用力的差异        

答案:(10分)(物质结构选做题)

(1)增大离子浓度,从而增大熔融盐的导电性

(2)⑧应为黑色

(3)原子核外电子按一定轨道顺序排列,轨道离核越远,能量越高。燃烧时,电子获得能量,从能量较低的轨道跃迁到能量较高的另一条轨道。跃迁到新轨道的电子处在一种不稳定的状态,它随即就会跳回原来的地能量轨道,并向外界释放能量(光能)

(4)NaF与MgF2为离子晶体,SiF4为分子晶体,所以NaF与MgF2远比SiF4熔点要高。又因为Mg2+的半径小于Na+的半径,所以MgF2的离子键强度大于NaF的离子键强度,故MaF2的熔点大于NaF。

(5)①σ键  ②a中存在氢键和范德华力,b中存在配位键

解析:(1)  以MgCl2为原料用熔融盐电解法制备Mg时,常加入NaCl、KCl、或CaCl2等金属氯化物,其主要作用除了降低熔点之外还有:增大离子浓度,从而增大熔融盐的导电性。

(2)  请更正图中错误:⑧应为黑色。

(3)  请用原子结构的知识解释发光的原因:原子核外电子按一定轨道顺序排列,轨道离核越远,能量越高。燃烧时,电子获得能量,从内侧轨道跃迁到外侧的另一条轨道。跃迁到新轨道的电子处在一种不稳定的状态,它随即就会跳回原来轨道,并向外界释放能量(光能)。

(4)  解释表中氟化物熔点差异的原因:NaF与MgF2为离子晶体,SiF4为分子晶体,所以NaF与MgF2远比SiF4熔点要高。又因为Mg2+的半径小于Na+的半径,所以MgF2的离子键强度大于NaF的离子键强度,故MaF2的熔点大于NaF。

(5)  ①a中连接相邻含N杂环的碳碳键可以旋转,说明该碳碳键具有:σ键的特性。

②微粒间的相互作用包括化学键和分子间相互作用,比较a和b中微粒间相互作用的差异:a中微粒间的相互作用为氢键,b中微粒间的相互作用为配位共价键。 

试题详情

35.[化学--选修物质结构与性质](15分)

(1)S  C

(2)V形  直线形  SO2  因为CO2是非极性分子,SO2和H2O都是极性分子,根据“相似相溶”原理,SO2在H2O中的溶解度较大

(3)Cr  四  1s22s22p63s23p63d54s1     +6

(4)F-H…F  F-H…O  O-H…F   O-H…O

解析:根据电子的核外排布规律,能量最低原理,且X原子核外的M层中只有两对成对电子,故X为硫元素,Y原子核外的L层电子数是K层的两倍,共有6个电子,Y为碳元素,Z是地壳内含量(质量分数)最高的元素为氧元素,Q的核电荷数是X与Z的核电荷数之和,Q的核电荷数为24,是铬元素,在元素周期表的各元素中电负性最大的是氟元素。XZ2与YZ2分子为SO2、CO2, SO2和H2O都是极性分子,根据“相似相溶”原理,SO2在H2O中的溶解度较大。且H易与O、 F、N形成氢键。

试题详情

14.[化学--选修物质结构与性质](15分)(08年宁夏理综·35)

X、Y、Z、Q、E五种元素中,X原子核外的M层中只有两对成对电子,Y原子核外的L层电子数是K层的两倍,Z是地壳内含量(质量分数)最高的元素,Q的核电荷数是X与Z的核电荷数之和,E在元素周期表的各元素中电负性最大。请回答下列问题:

(1)X、Y的元素符号依次为           

(2)XZ2与YZ2分子的立体结构分别是            ,相同条件下两者在水中的溶解度较大的是      (写分子式),理由是          

(3)Q的元素符号是     ,它属于第    周期,它的核外电子排布式为      ,在形成化合物时它的最高化合价为       

(4)用氢键表示式写出E的氢化物溶液中存在的所有氢键       

试题详情

13.(07年山东理综·32)(8分)[化学-物质结构与性质]

请完成下列各题:

(1)前四周期元素中,基态原子中未成对电子与其所在周期数相同的元素有   种。

(2)第ⅢA、ⅤA原元素组成的化合物GaN、GaP、GaAs等是人工合成的新型半导体材料,其晶体结构与单晶硅相似。Ga原子的电子排布式为       。在GaN晶体中,每个Ga原子与    个N原子相连,与同一个Ga原子相连的N原子构成的空间构型为      。在四大晶体类型中,GaN属于     晶体。

(3)在极性分子NCl3中,N原子的化合物为―3,Cl原子的化合价为+1,请推测NCl3水解的主要产物是       (填化学式)。

  答案:(1)5

  (2)1s22s22p63s23p63d104s24p1(或[Ar]3d104s24p1)  4  正四面体  原子

  (3)HClO  NH3·H2O

  解析:(1)第四周期中,基态原子中未成对电子数与其周期数相同的元素包括:第1周期的氢、第二周期的碳和氧、第三周期的磷、第四周期的铁,共5种。

  (2)Ga在元素周期表中是第四周期、第ⅢA族,原子序数是31,即其原子核外电子数是31,根据核外电子的排布规律可以写出该原子的电子排布式为:1s22s22p63s23p63d104s24p1或[Ar]3d104s24p1。因为GaN晶体结构与单晶硅相似,可知GaN晶体是原子晶体,晶体结构为空间网状结构,每个Ga原子与四个N相连,这四个N原子构成的空间构型是正四面体型。

  (3)水解反应前后各元素的化合价不变,由题意知NCl3中N的化合价为-3价,Cl的化合价为+1价,则在NCl3水解的产物中N的化合价也是-3价,Cl的化合价是+1价,分析可知其水解产物是HClO和NH3 ·H2O 。

试题详情

12.(07年宁夏理综·31B)[化学-选修物质结构与性质]

  已知A、B、C、D和E 5种分子所含原子数目依次为1、2、3、4和6,且都含有18个电子。又知B、C和D是由两种元素的原子组成。请回答:

(1)组成A分子的原子的核外电子排布式是       

(2)B和C的分子式分别是          ;C分子的立体结构呈     型,该分子属于     分子(填“极性”或“非极性”);

(3)若向D的稀溶液中加入少量二氧化锰,有无色气体生成。则D的分子式是     ,该反应的化学方程式为               

(4)若将1mol E在氧气中完全燃烧,只生成1mol CO2和2molH2O,则E的分子式是    

答案:(1)1s22s22p63s23p6  (2)HCl  H2S  V  极性    (3)H2O2  2H2O22H2O+O2↑(4)CH4O

解析:(1)因A有18个电子且只有1个原子,所以A为18号元素Ar,按照核外电子排布规律可以写出其电子排布式为1s22s22p63s23p6

(2)B、C两分子均有2种元素组成的,是分别含有2和3个原子的18电子的分子,所以B为HCl,C为H2S,H2S的结构与水分子的结构相似均为“V”型的极性分子。

(3)因为D分子中含有4个原子、2种元素、18个电子,且在溶液中加入MnO2后生成无色气体,所以D为H2O2 。反应的化学方程式为2H2O22H2O+O2↑。

(4)因为1mol E在氧气中完全燃烧,只生成1mol CO2和2molH2O,所以1个E分子中含有1个C原子和4个H原子。又因为E分子中含有6个原子且为18电子分子,因此E中含有的另一个原子为O原子。因此E的化学式为CH4O。

试题详情

11.(07年广东化学·29)(10分)

C、S、O、Se是同族元素,该族元素单质及其化合物在材料、医药等方面有重要应用。请回答下列问题:

(1)Ge的原子核外电子排布式为

(2)C、Si、Sa三种元素的单质中,能够形成金属晶体的是

(3)按要求指出下列氧化物的空间构型、成键方式或性质

①CO2分子的空间构型及碳氧之间的成键方式              

②SO2晶体的空间构型及硅氧之间的成键方式              

③已知SnO2是离子晶体,写出其主要物理性质       (写出2条即可)

(4)CO可以和很多金属形成配合物,如Ni(CO)2,Ni与CO之间的键型为

(5)碳氧键的红外伸缩振动频率与键的强度成正比,已知Ni(CO)4中碳氧键的伸缩振动频率为2060cm3,CO分子中碳氧键的伸缩振动频率为2143cm2,则Ni(CO)中碳氧键的强度比CO分子中碳氧键的强度   (填字母)

A.强  

B.弱  

C.相等  

D.无法判断

答案:(10分)

(1)1s22s22p63s23p63d104s24p2

(2)Sn

(3)①直线型  共价键(或α键与π键)②Si=O通过共价键形成四面体结构,四面体之间通过共价键形成空间网状结构共价键(或α键)③熔融时能导电、较高的熔点

(4)配位键

(5)B

解析:考查学生对原子结构和原子核外电子排布的了解,对常见物质空间构型和化学键与物质性质的了解,以及对原子晶体、金属晶体、简单配合物的结构的了解和对离子键形成的理解,考查学生的归纳推理能力、信息迁移能力及其综合应用能力。

试题详情

10.(11分)(2007海南·25)A、B、C、D、E代表5种元素。请填空:

(1)A元素基态原子的最外层有3个未成对电子,次外层有2个电子,其元素符号为       

(2)B元素的负一价离子和C元素的正一价离子的电子层结构都与氩相同,B的元素符号为       ,C的元素符号为       

(3)D元素的正三价离子的3d亚层为半充满,D的元素符号为        ,其基态原子的电子排布式为        

(4)E元素基态原子的M层全充满,N层没有成对电子,只有一个未成对电子,E的元素符号为        ,其基态原子的电子排布式为      

 答案:(1)N(2)Cl  K(3)Fe  1s22s22p63s23p63d64s2

(4)  Cu  1s22s22p63s23p63d104s1

­考点:本题考查了常见元素种类推断以及原子结构。

解析:(1)A元素原子核外共有5个电子,则核内为5个质子,因此为N。(2)B、C分别为17、19号元素即Cl、K。(3)D3+的电子排布式为1s22s22p63s23p63d5,可知D为26号元素,即Fe,因此其基态原子的电子排布式为1s22s22p63s23p63d64s2。(4)E元素原子核外共有29个电子,即第29号元素为Cu,电子排布式为1s22s22p63s23p63d104s1

试题详情

9.(09年海南化学·19.3)下列说法中错误的是:

A.SO2、SO3都是极性分子

B.在NH4+ 和[Cu(NH3)4]2+中都存在配位键

C.元素电负性越大的原子,吸引电子的能力越强

D.原子晶体中原子以共价键结合,具有键能大、熔点高、硬度大的特性

答案:A 

解析:A选项中,SO3是平面三角形的分子,为非极性分子,明显错误。

试题详情

8.(09年海南化学·19.2)下列有关物质性质、结构的表述均正确,且存在因果关系的是:

 
表述Ⅰ
表述Ⅱ
A
在水中,NaCl的溶解度比I2的溶解度大
NaCl晶体中C1-与Na+间的作用力大于碘晶体中分子间的作用力
B
通常条件下,CH4分子比PbH4分子稳定性高
Pb的原子半径比C的大,Pb与H之间的键能比C与H间的小
C
在形成化合物时,同一主族元素的化合价相同
同一主族元素原子的最外层电子数相同
D
P4O10、C6H12O6溶于水后均不导电
P4O10、C6H12O6均属于共价化合物

答案:B 

解析:A选项中,NaCl溶于水是离子晶体的特性,I2是非极性分子溶解度小;B选项中分子的稳定性与键能有关,所以正确;C中形成化合物不一定是最高价或最低价,所以不与最外层电子数呈因果关系;D选项因P4O10发生了反应,所以不能证明P4O10是共价化合物。

试题详情

7.(09年海南化学·19.1)在以离子键为主的化学键中常含有共价键的成分。下列各对原子形成化学键中共价键成分最少的是:

A.Li,F         B.Na,F         C.Na,C1        D.Mg,O

答案:B 

解析:比较两原子电负性的差,其中Na与F的电负性差最大。

试题详情


同步练习册答案