0  363365  363373  363379  363383  363389  363391  363395  363401  363403  363409  363415  363419  363421  363425  363431  363433  363439  363443  363445  363449  363451  363455  363457  363459  363460  363461  363463  363464  363465  363467  363469  363473  363475  363479  363481  363485  363491  363493  363499  363503  363505  363509  363515  363521  363523  363529  363533  363535  363541  363545  363551  363559  447090 

1.了解随机事件的发生存在着规律性和随机事件概率的意义;

试题详情

27.(10分)C和Si元素在化学中占有极其重要的地位。

(1)写出Si的基态原子核外电子排布式  从电负性角度分析,C、Si和O元素的非金属活泼性由强至弱的顺序为  

(2)SiC的晶体结构与晶体硅的相似,其中C原子的杂化方式为  ,微粒间存在的作用力是  

(3)氧化物MO的电子总数与SiC的相等,则M为  (填元素符号)。MO是优良的耐高温材料,其晶体结构与NaCl晶体相似。MO的熔点比CaO的高,其原因是  

(4)C、Si为同一主族的元素,CO2和SiO2化学式相似,但结构和性质有很大不同。CO2中C与O原子间形成键和键,SiO2中Si与O原子间不形成上述健。从原子半径大小的角度分析,为何C、O原子间能形成,而Si、O原子间不能形成上述 

2009年中山市高中化学竞赛试题

试题详情

26.(10)

四川汶川盛产品质优良的甜樱桃。甜樱桃中含有一种羟基酸(用A表示),A的碳链结构无支链,化学式为;1.34 g A与足量的碳酸氢钠溶液反应,生成标准状况下的气体0.448 L。A在一定条件下可发生如下转化:

其中,B、C、D、E分别代表一种直链有机物,它们的碳原子数相等。E的化学式为(转化过程中生成的其它产物略去)。

已知:

A的合成方法如下:

其中,F、G、M分别代表一种有机物。

请回答下列问题:

(1)A的结构简式是_____________________。

(2)C生成D的化学方程式是    

(3)A与乙醇之间发生分子间脱水瓜,可能生成的有机物共有  种。

(4)F的结构简式是     

(5)写出G与水反应生成A和M的化学方程式:   

试题详情

25. (9分)

是一种医药中间体,常用来制备抗凝血药,可通过下列路线合成:

(1)A与银氨溶液反应有银镜生成,则A的结构简式是            

(2)B→C的反应类型是                    

(3)E的结构简式是                       

(4)写出F和过量NaOH溶液共热时反应的化学方程式:

                                   

(5)下列关于G的说法正确的是

a.能与溴单质反应              b. 能与金属钠反应

c. 1molG最多能和3mol氢气反应        d. 分子式是C9H6O3

试题详情

24.(10分)单晶硅是信息产业中重要的基础材料。通常用碳在高温下还原二氧化硅制得粗硅(含铁、铝、硫、磷等杂质),粗硅与氯气反应生成四氯化硅(反应温度450-500°C),四氯化硅经提纯后用氢气还原可得高纯硅。以下是实验室制备四氯化硅的装置示意图。

相关信息如下:

a.四氯化硅遇水极易水解;

b.硼、铝、铁、磷在高温下均能与氯气直接反应生成相应的氯化物;

c.有关物质的物理常数见下表:

物质
SiCl4
BCl3
AlCl3
FeCl3
PCl5
沸点/℃
57.7
12.8
-
315
-
熔点/℃
-70.0
-107.2
-
-
-
升华温度/℃
-
-
180
300
162

请回答下列问题:

(1)写出装置A中发生反应的离子方程式                 

(2)装置A中g管的作用是        ;装置C中的试剂是      ;装置E中的h瓶需要冷却理由是        

(3)装置E中h瓶收集到的粗产物可通过精馏(类似多次蒸馏)得到高纯度四氯化硅,精馏后的残留物中,除铁元素外可能还含有的杂质元素是        (填写元素符号)。

(4)为了分析残留物中铁元素的含量,先将残留物预处理,是铁元素还原成Fe2+ ,再用KMnO4标准溶液在酸性条件下进行氧化还原滴定,反应的离子方程式是:

①滴定前是否要滴加指示剂?     (填“是”或“否”),请说明理由        。

         

②某同学称取5.000g残留物,预处理后在容量瓶中配制成100ml溶液,移取25.00ml,试样溶液,用1.000×10-2mol· L-1KMnO4标准溶液滴定。达到滴定终点时,消耗标准溶液20.00ml,则残留物中铁元素的质量分数是      

试题详情

23.(12分)铁和铝是两种重要的金属,它们的单质及化合物有着各自的性质。

(1)在一定温度下,氧化铁可以与一氧化碳发生下列反应:

 

 

 ①该反应的平衡常数表达式为:K=               

 ②该温度下,在2L盛有粉末的密闭容器中通入CO气体,10min后,生成了单质铁11.2g。则10min内CO的平均反应速率为                

(2)请用上述反应中某种气体的有关物理量来说明该反应已达到平衡状态:

  ①                                 

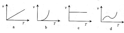
(3)某些金属氧化物粉末和Al粉在镁条的引燃下可以发生铝热反应。下列反应速率(v)和温度(T)的关系示意图中与铝热反应最接近的是      

(4)写出氢氧化铝在水中发生酸式电离的电离方程式:             

欲使上述体系中浓度增加,可加入的物质是          

试题详情

22.(11分) Li-SOCl2电池可用于心脏起搏器。该电池的电极材料分别为锂和碳,电解液是LiAlCl4-SOCl2。电池的总反应可表示为:4Li+2SOCl2 = 4LiCl +S +SO2

 请回答下列问题:

 (1)电池的负极材料为       ,发生的电极反应为        

 (2)电池正极发生的电极反应为          

(3)SOCl2易挥发,实验室中常用NaOH溶液吸收SOCl2,有Na2SO3和NaCl生成。 如果把少量水滴到SOCl2中,实验现象是       ,反应的化学方程式为      

                               

  (4)组装该电池必须在无水、无氧的条件下进行,原因是          

试题详情

21.(9分)化合物A由周期不同的短周期元素X、Y组成,是良好的耐热冲击材料。

(1)X的单质既可与盐酸反应,又可与NaOH溶液反应,X的原子结构示意图为   

(2)X的硫酸盐溶液与过量NaOH溶液反应的离子方程式为         

(3)一定条件下,A和水缓慢作用生成含Y的化合物Z,Z分子含有10个电子。

①Z与H2O2反应,其产物之一是Y的单质,Y的单质地电子式为        

;Z分子的结构呈      

②A的化学式是       

(4)X的单质、石墨和二氧化钛(TiO2)按比例混合,高温下反应得到的化合物均由两种元素组成,且都是新型陶瓷材料(在火箭和导弹上有重要应用),其反应的化学方程式是

          

试题详情

20.(9分)某厂废水中含5.00×10-3mol·L-1,其毒性较大。某研究性学习小组为了变废为宝,将废水处理得到磁性材料(的化合价依次为+3、+2),设计了如下实验流程:

(1)第①步反应的离子方程式是                        

(2)第②步中用PH试纸测定溶液PH的操作是:                

(3)第②步过滤得到的滤渣中主要成分除Cr(OH)3外,还有         

(4)欲使1L该废水中的完全转化为Cr0.5Fe1.5FeO4。理论上需    gFeSO4·7H2O。

试题详情

19.(15分)现有A、B、C、D、E、F六种化合物,已知它们的阳离子有阴离子有,现将它们分别配成的溶液,进行如下实验:

测得溶液A、C、E呈碱性,且碱性为A>E>C;

②向B溶液中滴加稀氨水,先出现沉淀,继续滴加氨水,沉淀消失;

向D溶液中滴加溶液,无明显现象;

向F溶液中滴加氨水,生成白色絮状沉淀,沉淀迅速变成灰绿色,最后变成红褐色。

根据上述实验现象,回答下列问题:

实验②中反应的化学方程式是                          ;

                                    

(2)E溶液是     溶液,判断依据是                   ;

_______________________________________________________________________

(3)写出下列四种化合物的化学式:A        、C          

D             、F               .

试题详情


同步练习册答案