0  363826  363834  363840  363844  363850  363852  363856  363862  363864  363870  363876  363880  363882  363886  363892  363894  363900  363904  363906  363910  363912  363916  363918  363920  363921  363922  363924  363925  363926  363928  363930  363934  363936  363940  363942  363946  363952  363954  363960  363964  363966  363970  363976  363982  363984  363990  363994  363996  364002  364006  364012  364020  447090 

19.设想地球没有自转,竖直向下通过地心把地球钻通。如果在这个通过地心的笔直的管道的一端无初速度地放下一物体,下列说法正确的是                  ( )

    A.物体在地心时,它与地心间距离为零,地球对物体的万有引力无穷大

    B.物体在地心时,地球对它的万有引力为零

    C.物体在管道中将往返运动,通过地心时加速度为零,速率最大

    D.物体运动到地心时由于万有引力为零,它将静止在地心不动

试题详情

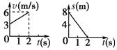
18.质量为2 kg的质点在x-y平面上做曲线运动,在x方向的速度图象和y方向的位移图象如图所示,下列说法正确的是                                  ( )

    A.质点的初速度为5 m/s

    B.质点所受的合外力为3 N

    C.质点初速度的方向与合外力方向垂直

    D.2 s末质点速度大小为6 m/s

试题详情

17.放在赤道上的物体A与放在北纬600处的物体B,由于地球(视

   为球体)的自转,下列关于物体A与物体B的关系正确的是(   )

   A.角速度大小之比为1:1    

   B.线速度大小之比为2:1

   C.向心加速度大小之比为4:1  

   D.周期之比为2:1

试题详情

16.如图所示,地球赤道上的山丘e,近地资源卫星p和同步通信卫星q均在赤道平面上绕地心做匀速圆周运动。设epq做圆周运动的速率分别为v1v2v3,向心加速度大小分别为a1a2a3,则      (   )

   A.v1v2v3     

   B.v1v2v3

   C.a1a2a3    

   D.a1a3a2

试题详情

15.长L=0.5m的轻杆,一端有一个质量为m=3kg的小球,小球以O点为圆心在竖直面内做匀速圆周运动,其运动的速率为2m/s,g取10m/s2,则小球通过最高点时杆受到的力为               (   )

   A.6N的拉力  

   B.6N的压力

   C.24N的拉力   

   D.54N的拉力

试题详情

14.有一在水平面内以角速度ω匀速转动的平台,半径为R,如图所示。  圆台边缘A处坐着一个人,此人举枪想击中圆心O处的目标,如果子弹射出速度为v,且枪身与OA的夹角为θ,则          (   )

   A.sinθ=ωR/v,瞄向O点右侧

   B.sinθ=ωR/v,瞄向O点左侧

   C.tanθ=ωR/v,瞄向O点右侧

   D.应对准O点瞄准

试题详情

13.从距离地面同一高度以相同的速率分别抛出三个完全相同的小球,一个竖直上抛,一个竖直下抛,另一个平抛,则它们从抛出到落地①运行的时间相等 ②加速度相同 ③落地时的速度相同 ④落地时的动能相等,以上说法正确的是           (   )

   A.①③       B.②③       C.①④       D.②④

试题详情

12.下列各组溶液,只要用试管和胶头滴管,不用任何试剂就可以鉴别的是    (   )

   A.KOH和Al2(SO4)3          B.稀H2SO4和NaHCO3

   C.CaCl2和Na2CO3            D.Ba(OH)2和NaHSO4

试题详情

11.能正确表示下列反应的离子方程式是                   (   )

   A.将铜屑加入氯化铁溶液中     2Fe3++Cu=2Fe2++ Cu2+

   B.氢氧化镁与稀硫酸反应      H+  + OH- = H2O

   C.向小苏打溶液中加入醋酸溶液   HCO3-+ H+ = CO2↑+ H2O

   D.将铁粉加入稀硫酸中       2Fe + 6 H+ =2Fe3+ + 3H2

试题详情

10.某无色溶液中一定能大量共存的是                     (   )

   A.Cu2+、Cl-、NO2-、Na+

   B.Na+、H+、I-、ClO-

   C.Al3+、SO42-、K+、NO3-

   D.Ca2+、HCO3-、Na+、OH-

试题详情


同步练习册答案