0  365691  365699  365705  365709  365715  365717  365721  365727  365729  365735  365741  365745  365747  365751  365757  365759  365765  365769  365771  365775  365777  365781  365783  365785  365786  365787  365789  365790  365791  365793  365795  365799  365801  365805  365807  365811  365817  365819  365825  365829  365831  365835  365841  365847  365849  365855  365859  365861  365867  365871  365877  365885  447090 

22.  Is it the years ________ you worked in the factory _______ have a great effect on your literary works?

A. that; where   B. that; that    C. when; where  D. when; that

试题详情

第一节    语法和词汇知识(共15小题;每小题1分,满分15分)

从A、B 、C 、D四个选项中,选出可以填入空白处的最佳答案。

21.  Premier Wen stated in his report that the education of _____young was always ____ hot and serious topic.

A. \; \     B. the; a     C. \; the     D. the; \

试题详情

22、已知数列{an}满足条件(n-1)an+1=(n+1)(an-1), a2=6, 令bn=an+n(n∈N*)

(1)写出数列{bn}的前4项;

(2)猜想{bn}的通项公式并用数学归纳法证明;

(3)是否存在非零常数p、q,使得成等差数列?若存在,求出p, q的关系式。

试题详情

21、已知两条曲线y=ex, y=lnx,

(1)求过曲线y= ex上的点(a, ea)的切线方程;

(2)由(1)求出的切线与曲线y=lnx相切,求a满足的关系;

试题详情

20、设数列{an}通项a n与前n项和Sn的关系是Sn=ka n+1(k∈R)。

(1)求通项a n

(2)若Sn存在,求k的取值范围及Sn

试题详情

19、一报童每出售一份报纸可赚a角钱,若卖不掉可退给报社,但每份要赔b角钱,他每天出售份数§的分布列为:

§
9
10
11
12
13
14
p
0.05
0.15
0.20
0.40
0.15
0.05

订多了因卖不完而赔钱,订少了因失去销售机会而造成损失。

(1)试写出每天损失的期望;

(2)若a=1,b=1,报童每天订多少份报纸才能使损失最小?

试题详情

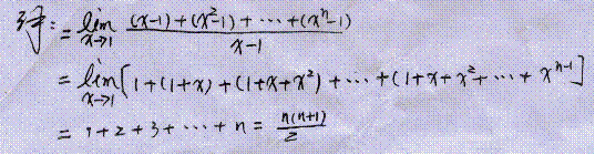
18、求的值。

试题详情

17、某地区有5个工厂,由于用电紧缺,规定每个工厂在周内必须选择某一天停电(选哪一天是等可能的),假定工厂之间的选择互不影响。

(I)求5个工厂均选择星期日停电的概率;

(II)求至少有两个工厂选择同一天停电的概率;

试题详情


同步练习册答案