0  365749  365757  365763  365767  365773  365775  365779  365785  365787  365793  365799  365803  365805  365809  365815  365817  365823  365827  365829  365833  365835  365839  365841  365843  365844  365845  365847  365848  365849  365851  365853  365857  365859  365863  365865  365869  365875  365877  365883  365887  365889  365893  365899  365905  365907  365913  365917  365919  365925  365929  365935  365943  447090 

2.(09·上海市南汇区二模) 我国决定推广使用车用乙醇汽油,它是在汽油中加入适量的乙醇形成的混合燃料。下列相关叙述错误的是 

  A.使用乙醇汽油能减少有害气体的排放  

 B.乙醇汽油是一种新型的化合物

C.燃料中的乙醇可以通过粮食发酵或化工合成等方法制得,属于可再生能源

D.甲醇、乙醇都能以任意比例和水互溶

试题详情

1. (2008浙大附中理综模拟考试)下列四类有机物,各自所包含的物质完全燃烧时,产生的水和二氧化碳的物质的量之比都相等的一类是

A.烯烃    B.苯的同系物   C.饱和一元醇   D.酚类

试题详情

7.(08江苏)、醇与氢卤酸反应是制备卤代烃的重要方法。实验室制备溴乙烷和1-溴丁烷的反应如下:

       NaBr+H2SO4HBr+NaHSO4         ①

       R-OH+HBrR-Br+H2O           ②

可能存在的副反应有:醇在浓硫酸的存在下脱水生成烯和醚,Br-被浓硫酸氧化为Br2等。有关数据列表如下;

 
乙醇
溴乙烷
正丁醇
1-溴丁烷
密度/g·cm-3
 0.7893
1.4604
0.8098
1.2758
沸点/℃
78.5
38.4
117.2
101.6

请回答下列问题:

(1)溴乙烷和1-溴丁烷的制备实验中,下列仪器最不可能用到的是    。(填字母)

a.圆底烧瓶   b.量筒   c.锥形瓶   d.布氏漏斗      

(2)溴代烃的水溶性     (填“大于”、“等于”或“小于”);其原因是      

                              

(3)将1-溴丁烷粗产品置于分液漏斗中加水,振荡后静置,产物在     (填“上层”、“下层”或“不分层”)。

(4)制备操作中,加入的浓硫酸必需进行稀释,起目的是       。(填字母)

a.减少副产物烯和醚的生成    

b.减少Br2的生成

c.减少HBr的挥发         

 d.水是反应的催化剂      

(5)欲除去溴代烷中的少量杂质Br2,下列物质中最适合的是       。(填字母)

a.NaI   b.NaOH   c.NaHSO3   d.KCl      

(6)在制备溴乙烷时,采用边反应边蒸出产物的方法,其有利于         ;但在制备1-溴丁烷时却不能边反应边蒸出产物,其原因是              

试题详情

6.(08江苏)、布噁布洛芬是一种消炎镇痛的药物。它的工业合成路线如下:

请回答下列问题:

⑴A长期暴露在空气中会变质,其原因是             

⑵有A到B的反应通常在低温时进行。温度升高时,多硝基取代副产物会增多。下列二硝基取代物中,最可能生成的是      。(填字母)

  a.  b. c. d.

⑶在E的下列同分异构体中,含有手性碳原子的分子是      。(填字母)

a.  b.  

  c.   d.

⑷F的结构简式            21世纪教育网

⑸D的同分异构体H是一种α-氨基酸,H可被酸性KMnO4溶液氧化成对苯二甲酸,则H的结构简式是         。高聚物L由H通过肽键连接而成,L的结构简式是           

试题详情

5.(08广东)、醇氧化成醛的反应是药物、香料合成中的重要反应之一21世纪教育网

(1)苯甲醇可由C4H5CH2Cl在NaOH水溶液中发生取代反应而得,反应方程式为    

(2)醇在催化作用下氧化成醛的反应是绿色化学的研究内容之一。某科研小组研究了把催化剂在氧气气氛中对一系列醇氧化成醛反应的催化效果,反应条件为:K2CO3、363K、甲苯(溶剂)。实验结果如下:

分析表中数据,得到把催化剂催化效果的主要结论是      (写出2条)。

(3)用空气代替氧气气氛进行苯甲醇氧化生成苯甲醛的反应,其他条件相同,产率达到95%时的反应时间为7.0小时。请写出用空气代替氧气气氛进行反应的优缺点:     

(4)苯甲醛易被氧化。写出苯甲醛被银氨溶液氧化的反应方程式      (标出具体反应条件)21世纪教育网

(5)在药物、香料合成中常利用醛和醇反应生成综醛来保护醛基,此类反应在酸催化下进行。例如:

①在以上醛基保护反应中要保证反应的顺利进行,可采取的措施有    (写出2条)。

②已知具有五元环和六元环结构的缩醛比较稳定。写出用乙二醇(HOCH2CH3OH)保护苯甲醛中醛的反应方程式       21世纪教育网

试题详情

4.(08全国理综Ⅰ)、A、B、C、D、E、F和G都是有机化合物,它们的关系如下图所示:

(1)化合物C的分子式是C7H8O,C遇到FeCl3溶液显示紫色,C与溴水反应生成的一溴代物只有两种,则C的结构简式为     

(2)D为一直链化合物,其相对分子质量比化合物C的小20,它能跟NaHCO3反应放出CO2,则D分子式为      ,D具有的官能团是     

(3)反应①的化学方程式是              

(4)芳香化合物B是与A具有相同官能团的A的同分异构体,通过反应②化合物B能生成E和F,F可能的结构简式是               

(5)E可能的结构简式是               

试题详情

3.(08四川)、胡椒粉是植物挥发油的成分之一。它的结构式为HO-   -CH2CH=CH2,下列叙述中不正确的是                          (   )

A.1mol胡椒粉最多可与4mol氢气发生反应

B.1mol胡椒粉最多可与4mol溴发生反应

C.胡椒粉可与甲醛发生反应,生成聚合物

D.胡椒粉在水中的溶解度小于苯酚在水中的溶解度

试题详情

2.(08重庆)、食品香精菠萝酯的生产路线(反应条件略去)如下:

下列叙述错误的是                             (   )

A.步骤(1)产物中残留的苯酚可用FeCl3溶液检验

B.苯酚和菠萝酯均可与酸性KMnO4溶液发生反应

C.苯氧乙酸和菠萝酯均可与NaOH溶液发生反应

D.步骤(2)产物中残留的烯丙醇可用溴水检验

试题详情

1.(2008江苏)某有机样品3.1g完全燃烧,燃烧后的混合物通入过量的澄清石灰水,石灰水共增重7.1g,经过滤得到10g沉淀。该有机样品可能是(  AD  )

A.乙二醇    B.乙醇     C.乙醛     D.甲醇和丙三醇的混合物

试题详情

4. 用途:合成染料、药剂、制炸药、电木塑料、用作防腐消毒剂等21世纪教育网

击破考点一:醇的分类与命名

例1:下列说法正确的是(   )

CH3

 

A. CH3-C-CH3的名称应为2-甲基-2-丙醇

CH3

B. 2-甲基-3,6-己二醇根据羟基数目分类应属于二元醇

CH3 OH

 

C.. CH3CH2-C-CH-CH2CH3的名称为4-甲基-3,4-己二醇

 

OH

CH3

 

D. CH3-CH2-CH-CH2-CH2-CH-CH3的名称为3,6-二乙基-1-庚醇

 

CH2CH2OH

[变式训练1]对某一类醇作系统命名,其中正确的是(   )

A.1,1-二甲基-3-丙醇     B.2-甲基-4-戊醇

C.3-甲基-2-丁醇       D.3,3-二甲基-1-丁醇

[变式训练2]A、B、C三种醇同足量的金属钠完全反应,在相同条件下产生相同体积的氢气消耗这三种醇的物质的量之比为3:6:2,则A、B、C三种醇分子里羟基数之比是(   )

A.3:2:1   B.2:6:3   C.3:1:2   D.2:1:3

击破考点二:醇类物质的性质

例2:乙醇分子中各种化学键如下图所示,关于乙醇在各种反应中断裂键的说法不正确的是(   )

H   H

⑤   ④  ②   ①

H--C--C--O--H

H   H

A.和金属钠反应时键①断裂

B.和浓H2SO4共热到170℃时键②和⑤断裂

C.和浓H2SO4共热到140℃时仅有键②断裂

D.在Ag催化下与O2反应时键①和③断裂

[变式训练3]天文学家在太空发现一个长4630亿千米的甲醇气团,这一天文发现揭示“原始气体如何形成巨大恒星”提供了有力证据。下列关于醇的说法正确的是     (   )

A.甲醇能使蛋白质变性      B.所有的醇都能发生消去反应

C.都符合通式CnH2n+1OH     D.醇与钠反应比水与钠反应剧烈

[变式训练4]针对下面的物质结构,说法正确的是            (   )

HO-   -CH2CH2OH

CH=CH2

A.所有的碳原子有可能处于同一平面

B.所有的碳原子不有可能处于同一平面

C.所有的氧原子不可能处在苯环平面

D.所有的氢原子有可能处在苯环平面

击破考点三:有机物分子式和结构式的确定

例3:某研究性学习小组以“探究乙醇的结构式”为课题,开展以下研究:

Ⅰ. 取乙醇2.30 g,燃烧后生成2.70 g水和2.24 L二氧化碳气体(标准状况),并测知乙醇蒸气对氢气的相对密度为23.0。请根据有关数据推算乙醇的分子式。

Ⅱ. 根据Ⅰ中推算出的乙醇的分子式,推算它可能具有的结构式。

Ⅲ. 设计实验探究乙醇的结构式,为了确定其结构,应利用物质的特殊性质进行定性、定量实验。现给出乙醇、钠、水及必要的仪器,甲、乙、丙、丁四名学生直接利用如图所示的装置进行实验,确定乙醇的结构21世纪教育网

 

(1)学生甲得到一组实验数据:

乙醇的物质的量
氢气的体积(标准状况)
0.10 mol
1.12 L

根据以上数据推测乙醇的结构式应为_________,理由是____________________________________。

(2)学生乙分别准确称量4.60 g乙醇进行多次实验,结果发现把排到量筒内的水的体积作为生成氢气的体积换算成标准状况后都小于1.12 L。如果忽略读数造成的误差,那么学生乙认为是乙醇样品中含有少量水造成的,你认为正确吗?___________(填“正确”或“不正确”)。如果你认为不正确,那么产生这种情况的原因是什么?请你提出改进方案:______________________。

(3)学生丙认为实验成功的关键有:①装置的气密性要良好;②实验开始前要准确确定乙醇的质量;③钠足量;④广口瓶内必须充满水;⑤氢气体积的测算方法要正确且数值要准确。其中正确的有__________(填序号)。

(4)学生丁不想通过称量乙醇来确定乙醇的量,那么他还需要知道的数据是_______。

(5)实验后四名同学从乙醇可能的结构分析入手,对乙醇和钠的量的关系进行讨论,如果乙醇的物质的量为n mol,那么对钠的物质的量的取值要求必须是___________。

[变式训练5]取3.40 g只含羟基、不含其他官能团的液态饱和多元醇,置于5.00 L氧气中,经点燃,醇完全燃烧。反应后气体体积减少0.56 L。将气体经足量NaOH溶液吸收,体积又减少2.80 L(所有体积均在标准状况下测定)21世纪教育网

(1)3.40 g醇中C、H、O物质的量分别为C:_________mol;H:________mol;O:________mol,该醇中C、H、O的原子个数之比为____________。

(2)由以上比值_________(填“能”或“不能”)确定该醇分子式,其原因是________________________。

(3)如果将该多元醇的任意一个羟基换成一个卤原子,所得到的卤代物都只有一种,试写出该饱和一元醇的结构简式____________________21世纪教育网

[变式训练6]A、B两种有机物组成的混合物,当混合物质量相等时,无论A、B以何种比例混合,完全燃烧产生CO2的量均相等,符合这一组合条件的有:①同分异构体;②同系物;③具有相同的最简式;④含碳的质量分数相同,其中正确的是      (   )

A.①②③   B.①③④   C.②③④   D.①②③④

击破考点四:有机氧化反应和还原反应

例4:(上海)松油醇是一种调香香精,它是α、β、γ三种同分异构体组成的混合物,可由松节油分馏产品A(下式中的18是为区分两个羟基而人为加上去的)经下列反应制得:

(1)α-松油醇的分子式        

(2)α-松油醇所属的有机物类别是     (多选扣分)

A.醇   B.酚   C.饱和一元醇

(3)α-松油醇能发生的反应类型是     (多选扣分)

A.加成   B.水解  C.氧化

(4)在许多香料中松油醇还有少量以酯的形式出现,写出RCOOH和α-松油醇反应的化学方程式                            

(5)写结构简式:β-松油醇       ,γ松油醇      

[变式训练7]乙醇可以发生下列反应,在反应中乙醇分子断裂C-O键而失去羟基的

是(    )

A.乙醇在浓H2SO4存在下发生消去反应

B.乙醇在催化剂存在下与乙酸发生酯化反应

C.乙醇与氢卤酸的取代反应

D.乙醇在铜丝存在下被催化氧化

[变式训练8]据2006年11月12日中央电视台每周质量报告报道,北京市场上销售的一部分标称是白洋淀特产的“红心鸭蛋”含偶氮染料“苏丹红Ⅳ号”,国际癌症机构将其列为三种致癌物之一。“苏丹红Ⅳ号”的结构简式如下:

CH3        CH3   

OH

-N=N-    -N=N-    ,关于“苏丹红Ⅳ号”说法正确的是(   )

A.属于芳香烃  B.不属于氨基酸  C.能发生加成反应  D.不能发生取代反应

击破考点五:酚的结构和性质

例5:以苯、硫酸、氢氧化钠、亚硫酸钠为原料,经典的合成苯酚的方法可简单表示为:(提示:苯磺酸的化学式为    -SO3H),苯     苯磺酸        苯磺酸钠

苯酚钠(及盐和水)    苯酚。

(1)写出②③④步反应的化学方程式。

(2)根据上述反应判断苯磺酸、苯酚、亚硫酸三种物质的酸性强弱,并说明理由?

解析:(1)从②步符合酸+盐→新酸(SO2+H2O)+新盐(苯磺酸钠),第③步反应产物已指出,第④步类似于盐+酸→新盐(Na2SO3)+新酸(苯酚)。(2)根据强酸可以从弱酸盐中制取弱酸的原理,由反应②④可知酸性强弱顺序是:苯磺酸>亚硫酸>苯酚。

[变式训练9]下列关于苯酚的叙述中,正确的是              (   )

A.苯酚呈弱酸性,能使紫色石蕊试液显浅红色

B.苯酚分子中的13个原子有可能在同一平面上

C.苯酚有强腐蚀性,沾在皮肤上可用酒精洗涤

D.苯酚能与FeCl3溶液反应生成紫色沉淀

[变式训练10](08四川)、胡椒粉是植物挥发油的成分之一。它的结构式为HO--CH2CH=CH2,下列叙述中不正确的是                (   )

A.1mol胡椒粉最多可与4mol氢气发生反应

B.1mol胡椒粉最多可与4mol溴发生反应

C.胡椒粉可与甲醛发生反应,生成聚合物

D.胡椒粉在水中的溶解度小于苯酚在水中的溶解度

击破考点六:苯酚的检验方法

例6:漆酚HO-     是我国特产漆的主要成分。漆酚不应具有的化学性质是(   )

HO-   -C15H27

A.可以跟FeCl3溶液发生显色反应

B.可以使酸性高锰酸钾溶液褪色

C.可以跟Na2CO3溶液反应放出CO2

D.可以跟溴水发生取代反应和加成反应

[变式训练11]在盛有少量苯酚溶液的试管里加入过量的浓溴水,会立即产生大量白色沉淀物,振荡,沉淀不会消失;若在过量的苯酚溶液中加入少量浓溴水也产生白色沉淀,但稍加振荡,沉淀立即消失,产生这种现象的原因可能是             (   )

A.生成的三溴苯酚与生成的HBr反应生成四溴代苯

B.生成的三溴苯酚溶解于溴水中

C.生成的三溴苯酚溶解于过量苯酚中

D.可能产生一溴苯酚

[变式训练12](08重庆)、食品香精菠萝酯的生产路线(反应条件略去)如下:

下列叙述错误的是(   )

A.步骤(1)产物中残留的苯酚可用FeCl3溶液检验

B.苯酚和菠萝酯均可与酸性KMnO4溶液发生反应

C.苯氧乙酸和菠萝酯均可与NaOH溶液发生反应

D.步骤(2)产物中残留的烯丙醇可用溴水检验

击破考点七:醇的熔沸点与氢键的关系

例7:下列说法正确的是(   )

A.对于苯酚来说,当-OH个数一定时,碳原子数越多,氢键越弱

B.乙醇蒸气中氢键比液态乙醇氢键强

C.只有醇分子之间才存在氢键

D.CH3OH常温下为气态,氢键与物质的熔沸点无关

[变式训练13]能证明乙醇分子有一个羟基的事实是(   )

A.乙醇完全燃烧生成CO2和H2O

B.0.1 mol乙醇跟足量的钠反应生成0.05 mol氢气

C.乙醇能溶于水

D.乙醇能脱水

[变式训练14](1)在反应CO+H2OCO2+H2达到平衡后,加入少量H218O重新达到平衡后,含18O的物质有(   )

A.1种    B.2种   C.3种   D.4种

O

 

(2)在反应CH3COOH+CH3CH2OHCH3CH2-C-CH3达到平衡后,加入少量H218O重新达到平衡后,含18O的物质有(   )

A.1种    B.2种   C.3种   D.4种

击破考点八:酚类知识的综合应用

例8:(高考题)含苯酚的工业废水处理的流程图如下图:

⑴上述流程里,设备Ⅰ中进行的是   操作(填写操作名称)。实验室里这一步操作可

以用       进行(填写仪器名称)

⑵由设备Ⅱ进入设备Ⅲ的物质A是  ,由设备Ⅲ进入设备Ⅳ的物质B是   

⑶在设备Ⅲ中发生反应的化学方程式为:                

⑷在设备Ⅳ中,物质B的水溶液和CaO反应后,产物是NaOH、H2O和    。通过

操作(填写操作名称),可以使产物相互分离。

⑸上图中,能循环使用的物质是C6H6、CaO、     、      21世纪教育网

OH

[变式训练15]白藜芦醇HO-    -CH=CH-      广泛存在于食物(例如桑葚、花生、

 

OH

尤其是葡萄)中,它可能具有抗癌性。能够跟1 mol该化合物其反应的Br2或H2的最大用量分别是                                  (   )

A.1 mol、1 mol  B.3.5 mol、7 mol   C.3.5 mol、6 mol  D.6 mol、7 mol

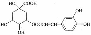
[变式训练16](07四川)咖啡鞣酸具有较广泛的抗菌作用,其结构简式如下所示:

   关于咖啡鞣酸的下列叙述不正确的是

   A.分子式为C16H18O9

   B.与苯环直接相连的原子都在同一平面上

   C.1 mol咖啡鞣酸水解时可消耗8molNaOH

   D.与浓溴水既能发生取代反应又发生加成反应

试题详情


同步练习册答案