0  371657  371665  371671  371675  371681  371683  371687  371693  371695  371701  371707  371711  371713  371717  371723  371725  371731  371735  371737  371741  371743  371747  371749  371751  371752  371753  371755  371756  371757  371759  371761  371765  371767  371771  371773  371777  371783  371785  371791  371795  371797  371801  371807  371813  371815  371821  371825  371827  371833  371837  371843  371851  447090 

2.(湖南卷理3文4)极坐标方程和参数方程(为参数)所表示的图形分别是

A、圆、直线              B、直线、圆

C、圆、圆              D、直线、直线

试题详情

1.(北京卷理5)极坐标方程(p-1)()=(p0)表示的图形是

(A)两个圆             (B)两条直线

(C)一个圆和一条射线        (D)一条直线和一条射线

[答案]C

[解析].原方程等价于,前者是半径为1的圆,后者是一条射线。

试题详情

3.(2010福建理数)设等差数列的前n项和为,若,,则当取最小值时,n等于

A.6          B.7         C.8         D.9

[答案]A

[解析]设该数列的公差为,则,解得

所以,所以当时,取最小值。

[命题意图]本题考查等差数列的通项公式以及前n项和公式的应用,考查二次函数最值的求法及计算能力

试题详情

10.D

[分析]取等比数列,令代入验算,只有选项D满足。

[方法技巧]对于含有较多字母的客观题,可以取满足条件的数字代替字母,代入验证,若能排除3个选项,剩下唯一正确的就一定正确;若不能完全排除,可以取其他数字验证继续排除.本题也可以首项、公比即项数n表示代入验证得结论.

(2010湖北理数)7、如图,在半径为r 的园内作内接正六边形,再作正六边形的内切圆,又在此内切圆内作内接正六边形,如此无限继续下去,设为前n个圆的面积之和,则= 

A. 2   B.    C.4   D.6

试题详情

1.(2010安徽理数)10、设是任意等比数列,它的前项和,前项和与前项和分别为,则下列等式中恒成立的是

A、                     B、

C、                       D、

试题详情

7.(2010湖北文数)已知等比数列{}中,各项都是正数,且成等差数列,则

A.        B.           C.          D

(2010山东理数)

试题详情

4.A[命题意图]本小题主要考查等比数列的性质、指数幂的运算、根式与指数式的互化等知识,着重考查了转化与化归的数学思想.

 [解析]由等比数列的性质知10,所以,

所以

(2010全国卷1理数)(4)已知各项均为正数的等比数列{}中,=5,=10,则=

 (A)   (B) 7   (C) 6    (D)

试题详情

4.C.设{}的公比为,则由等比数列的性质知,,即。由与2的等差中项为知,,即

  ∴,即,即

(2010广东文数)已知数列{}为等比数列,是它的前n项和,若,且与2的等差中项为,则S5=( )A、35 B、33 C、31 D、29

(2010全国卷1文数)(4)已知各项均为正数的等比数列{},=5,=10,则=

(A)   (B) 7   (C) 6    (D)

试题详情

4.(2010广东理数) 已知为等比数列,Sn是它的前n项和。若, 且与2的等差中项为,则=

A.35       B.33     C.31      D.29

试题详情

5.A

[解析].

[方法技巧]直接根据即可得出结论.

(2010重庆文数)(2)在等差数列中,,则的值为

(A)5                     (B)6[

(C)8                     (D)10

解析:由角标性质得,所以=5

(2010浙江文数)(5)设为等比数列的前n项和,

(A)-11                 (B)-8

(C)5                  (D)11

解析:通过,设公比为,将该式转化为,解得=-2,带入所求式可知答案选A,本题主要考察了本题主要考察了等比数列的通项公式与前n项和公式

(2010重庆理数)(1)在等比数列中, ,则公比q的值为

A. 2   B. 3    C. 4    D. 8 

解析: 

(2010北京理数)(2)在等比数列中,,公比.若,则m=

(A)9     (B)10     (C)11     (D)12

答案:C

(2010四川理数)(8)已知数列的首项,其前项的和为,且,则

(A)0     (B)     (C) 1     (D)2

解析:由,且

作差得an+2=2an+1

S2=2S1+a1,即a2+a1=2a1+a1  Þ  a2=2a1w

故{an}是公比为2的等比数列

Sna1+2a1+22a1+……+2n1a1=(2n-1)a1

答案:B

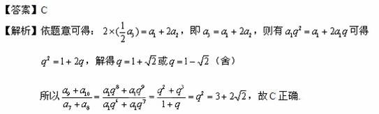
(2010天津理数)(6)已知是首项为1的等比数列,的前n项和,且,则数列的前5项和为

(A)或5   (B)或5  (C)     (D)

[答案]C

[解析]本题主要考查等比数列前n项和公式及等比数列的性质,属于中等题。

显然q1,所以,所以是首项为1,公比为的等比数列, 前5项和.

[温馨提示]在进行等比数列运算时要注意约分,降低幂的次数,同时也要注意基本量法的应用。

试题详情


同步练习册答案