0  400081  400089  400095  400099  400105  400107  400111  400117  400119  400125  400131  400135  400137  400141  400147  400149  400155  400159  400161  400165  400167  400171  400173  400175  400176  400177  400179  400180  400181  400183  400185  400189  400191  400195  400197  400201  400207  400209  400215  400219  400221  400225  400231  400237  400239  400245  400249  400251  400257  400261  400267  400275  447090 

43.答案:①硝化  ②氯代  ③氧化  ④酯化  ⑥还原

解析:此题主要考查的有机化学的反应类型,只要明确了合成路线中的各步反应的条件及A、B产物的结构,问题就能顺利解决。

解析:此题主要考查了有机合成及有机化学方程式的书写,反应(1)的反应物和主要产物都已给出,只要看出副产物HCl即可。而TCDD的生成,显然是两分子2,4,5-三氯苯酚缩减两分子HCl生成的。

消去(或脱水)  酯化(或分子间脱水)

解析:A在浓硫酸作用下脱水可生成不饱和的化合物E,说明A分子中含有-OH;A也能脱水形成六原子环状化合物F,说明分子中还有-COOH,其结构简式为

不难推出B为D为

试题详情

42.答案:(1)C3H4O2  (2)CH2==CH-COOH

(3)A是一元羧酸,所以A中有-COOH,A能与氢气、溴、溴化氢反应,所以分子中有碳碳不饱和键。含碳碳不饱和键的最简化合物是丙烯酸和丙炔酸,但只有丙烯酸的碳的质量分数为50%。所以A为丙烯酸。

试题详情

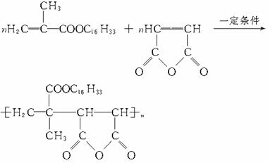
40.答案:(1)加成  消去  水解(或取代)

(2)CH2Cl-CH==CH-CH2Cl  HOOC-CH===CH-COOH

 

(3)CH2==C(CH3)-COOH+C16H33OH             CH2==C(CH3)-COOC16H33+H2O

解析:此题为有机合成推断题。可采用正向思维和逆推法相结合的方法解题。由J的结构式可知,E与K发生的是加聚反应生成了J,E与K分子中都有双键。D生成E的反应为酯化反应,说明了反应b为消去反应,反应a为CH2==CH-CH3与水的加成反应;H到K的反应为分子内两-COOH的脱水成环反应;CH2==CH-CH==CH2与Cl2发生了1、4-加成反应生成CH2Cl-CH==CH-CH2Cl,该物质水解生成了二元醇G,G再氧化得二元羧酸H。

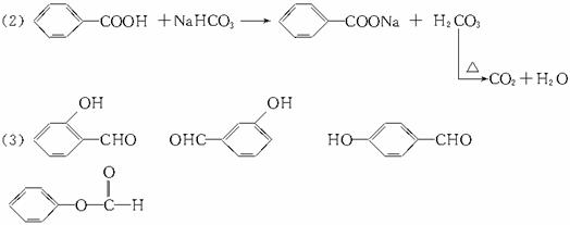
解析:A能与NaHCO3反应放出CO2,说明A的酸性比碳酸强,又因A为芳香化合物,分子内含有苯环,结合其分子组成,则其另一部分为-COOH。故为苯甲酸。羧酸的同分异构体为羟基醛和酯,分别可写出4种结构。

试题详情

39.答案:(1)bc 

(2)HOOC-CH(OH)-CH2-COOH或

解析:此题为一信息推断题。由分子组成可知,此物质的分子中不含苯环,也就不含酚-OH,但有两步电离,说明分子中含有两个-COOH;又因能与RCOOH发生反应生成香味物质,说明发生了酯化反应,该物质的分子中含有-OH,再由1 mol A与足量钠反应可放1.5 mol H2,说明分子中只有一个-OH,所以问题(1)的答案是:b、c;在写A的结构式时就注意A分子中不含-CH3;A的脱水产物能与溴水加成,说明A脱水生成的是烯键。因A中不含-CH3,就很易写出含-CH3的A的同分异构体。

试题详情

36.答案:(1)C9H13O

(2)羟  氨

 

解析:此题的前两步比较简单,第一问考查了有机物分子式的书写,第二问考查了官能团的名称,这些都是有机化学的基本知识。第三问则是结合数学知识考查了同分异构体的书写。利用排列组合的知识可知:苯环侧链上三个碳原子连成直链时,三个碳原子的位置各不相同,两个取代基在三个碳原子上分布位置共有6种,题目中已给出了五种,依据规律可写出第六种;如苯环侧链上三个碳原子连成时,则碳原子位置有两种,两个取代基连在位置不同的碳原子上可得两种结构,连在位置相同的两个碳原子上时,则又得到了一种,总共4种。

解析:本题意在联系社会考查学生有机化学知识的应用能力。同时也考查了学生的信息接受与应用能力。利用信息②酯比酰胺容易水解,在条件(1)下,只能是A中的酯基水解,产物中必有甲醇;在条件(2)下,酯和酰胺都水解,产物有三种;由第三问中的题意可知,既然有甲醇生成,分子内官团之间则按信息①中的第一步反应方式进行。

(2)c  (3)b  (4)C10H16O

解析:此题为一信息迁移题。解题的关键是读懂题干所给出的三条信息。一是酮的分类依据;二是酮的加成反应的原理;三是酮的还原性较弱,弱于醛基。

(1)利用第二条信息可知,HCN溶液中带负电荷的CN进攻羰基碳,而带正电荷的H+加到羰基的氧原子上,形成-OH。所以反应的方程式为:

(2)醛基可被银氨溶液氧化,而羰基不能被氧化,四个选项中a、b、d中都含有醛基,c中只有羰基,无醛基,故应选C。

(3)与灵猫香酮中的羰基相连的是相互闭合的环状结构,且无苯环,因此,该物质应属于脂环酮。

(4)利用碳的四价键原则,首先查出碳原子数,再算出氢原子数和氧原子数,即可得出其分子式。

试题详情

35.答案:(1)2,3-二甲基丁烷  (2)取代  加成

(5)E  CnH2n2

解析:本题的前二问比较简单,第一问考查有机物的命名,第二问考查有机反应的基本类型,第三、四问则是利用有关反应和性质来确定物质的结构,由B的结构及反应条件可知C1、C2可能为                                           由于E可发生1,4-

 

加成和1,2-加成,则E为二烯烃,不难推得C2为(CH3)2C==C(CH3)2,D为E为                          其他问题便可迎刃而解了。

试题详情

33.答案:CH2==CH2+HClCH3CH2Cl  加成  氯乙烷沸点低,易挥发吸热

解析:乙烯分子中含有C==C双键,在一定条件下可与HCl分子发生加成反应,CH2==CH2+HClCH3-CH2Cl而生成氯乙烷,氯乙烷的沸点低,易挥发,挥发时吸收热量可具体应用于冷冻麻醉。

试题详情

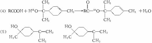
32.答案:(1)C10H1818O  (2)a  (3)ac

解析:由α-松油醇的结构简式可以看出,-OH直接与链烃基相连,应是醇;分子中含有环状结构且有双键,应属于不饱和醇,能发生加成反应,也能被氧化。A在脱水发生消去反应时,如果是环上的-OH发生消去,得α-松油醇;如果是侧链上的-OH发生消去反应,去氢的位置有两种,一种是去侧链上的氢,得β-松油醇,另一种是去环上的氢,得γ-松油醇。

试题详情

31.答案:A

解析Ⅰ:戊烷  C5H12+8O25CO2+6H2O

苯   2C6H6+15O212CO2+6H2O

苯酚  C6H5OH+7O26CO2+3H2O

设有机物均为1 mol 时需O2量依次为8 mol、7.5 mol、7 mol。所以xyz,故选A。

解析Ⅱ:如能熟记1 mol C需1 mol O2、4 mol H需 1 mol O2,则只由分子式可直接求出完全燃烧时需O2的量。(如有机物中含O,可从需O总量中减去。或含有一个O原子从有机物分子先去2个H,再算需O2的总量)

试题详情

30.答案:B

解析:解此题的思路可以逐一分析(1)-(5)五种物质,也可以从发生加成、酯化、氧化反应的官能团的特性分析。但对各种官能团特性的分析是解题的关键。能发生加成反应是“==”“≡”键的性质,而-OH,-COOH是发生酯化反应的官能团,而不饱和键:-OH、-CHO可发生氧化反应(此题中的氧化反应应是指不完全氧化),由此可知:(2)不能发生加成反应;(4)不能发生酯化反应,其余符合,故选B。

试题详情


同步练习册答案