0  401948  401956  401962  401966  401972  401974  401978  401984  401986  401992  401998  402002  402004  402008  402014  402016  402022  402026  402028  402032  402034  402038  402040  402042  402043  402044  402046  402047  402048  402050  402052  402056  402058  402062  402064  402068  402074  402076  402082  402086  402088  402092  402098  402104  402106  402112  402116  402118  402124  402128  402134  402142  447090 

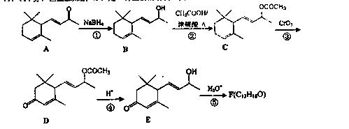
19.(14分)巨豆三烯酮(F)是一种重要的香料,其合成路线如下:

  (1)化合物C含有的官能团的名称为         。 

  (2)化合物F的结构简式是         

  (3)在上述转化过程中,步骤②的目的是        ,写出步骤②的化学方程式     

  (4)写出符合下列条件的D的一种同分异构体的结构简式      

a.属于芳香族化合物;

b.核磁共振氢谱显示,分子中有4种化学环境不同的氢原子;

        c.1mol该物质最多可消耗2molNaOH

d.能发生银镜反应。

  (5)兔耳草醛()也是一种重要的香料,主要用于食品、化妆品等工业中。请设计合理方案,以对异丙基苯甲醛()和丙醛为原料合成兔耳草醛(用合成路线流程图表示,并注明反应条件)。

提示:①2CH3CHOCH3CH(OH)CH2CHOCH3CH=CHCHO

②合成过程中无机试剂任选;

③合成路线流程图示例如下:

                 

试题详情

18.(12分)硫酸铜是一种重要的化工原料,工业上常用硫酸为原料来制备硫酸铜。

  (1)工业上生产硫酸过程中,焙烧硫铁矿时产生的废渣是一种二次资源。

①为了从废渣中磁选获得品位合格的铁精矿,高温下利用CO使弱磁性Fe2O3转化为强磁性Fe3O4。写出该反应的化学方程式      ;实验发现:CO太多或太少都会导致磁铁矿产率降低,原因是      

②氯化焙烧工艺是将废渣用氯化钙水溶液调和、成球、高温焙烧,废渣中SiO2与CaCl2等在高温下反应放出HCl,HCl与金属氧化物等反应生成氯化物。反应生成的各金属氯化物以气态形式逸出,进而回收有色金属和回返氯化钙溶液。写出氯化焙烧工艺中生成HCl的化学方程式           

  (2)测定硫酸铜品体中结品水含量的实验步骤为:

步骤1:准确称量一个洁净、干燥的坩埚;

步骤2:将一定量的硫酸铜晶体试样研细后,放入坩埚中称重

步骤3:将盛有试样的坩埚加热,待晶体变成白色粉末时,停止加热;

步骤4:将步骤3中的坩埚放入干燥器,冷却至室温后,称重:

步骤5:          

步骤6:根据实验数据计算硫酸铜晶体试样中结晶水的质量分数。

请完成实验步骤5。  

  (3)已知硫酸铜品体受热可以逐步失去结品水,温度升高还町以分解生成铜的氧化物。观取25.0g CuSO4·5H2O品体均匀受热,缓慢升温至1200℃并恒温1小时,实验测得固体残留率(剩余固体的质量/原始固体质量)与温度的关系如下图所示:

在110℃时所得固体的成分为         ;在1200℃并恒温1小时,反应所得气态产物除去水后,物质的量为         。(填字母)

        A.0 mol        B.0.1mol          C.0.125mol       D.大于0.125mol

试题详情

17.(8分)

  (1)已知:N2(g)+O2(g)=2NO(g); △H=+180.5 kJ·mol-1

        4NH3(g)+5O2(g)=4NO(g)+6H2O(g);△H=-905 kJ·mol-1

2H2(g)十O2(g)=2H2O(g):△H=--483.6 kJ·mol-1

则N2(g)+3H2(g)    2NH3(g)的△H=      

  (2)在一定条件下,将2mol N2与5mol H2混合于一个10 L的密闭容器中,反应情况如图1所示:

①求5min内的平均反应速率v(NH3)        

②达到平衡时NH3的体积分数为           

图1           图2 电解法合成氨装置

  (3)近年来科学家采用高质子导电性的SCY陶瓷(能传递H+)为介质,用吸附在它内外表面上的金属钯多品薄膜做电极,实现了高转化率的电解法合成氨(装置如图2)。钯电极A上发生的电极反应式是          。 

试题详情

16.(10分)氯化亚铜(CuCl)是白色粉末,不溶于水、乙醇及稀硫酸,熔点422℃,沸点1366,在空气中迅速被氧化成绿色,常用作有机合成工业中的催化剂。以粗盐水(含Ca2+、Mg2+、SO42-等杂质、Cu、稀硫酸、SO2等为原料合成CuCl的工艺如下:

  (1)A的化学式为         

  (2)写出反应V的化学方程式        

  (3)写出反应VI的离子方程式为       

  (4)本工艺中可以循环利用的物质是(刚化学式表示)       

  (5)反应VI后,过滤得到CuCl沉淀,用无水乙醇洗涤沉淀,在真空干燥机内于70℃干燥2小时,冷却,密封包装即得产品。于70℃真空干燥的目的是      

试题详情

15.(12分)纯净的过氧化钙(CaO2)难溶于水、乙醇,常温下较为稳定。CaO2·8H2O在0℃时稳定,加热至130℃时逐渐变为无水CaO2。在实验室可用钙盐制取CaO2·8H2O,再经脱水制得CaO2。其制备过程如下:

     根据以上信息,同答下列问题:

  (1)用上述方法制取CaO2·8H2O的化学方程式是      

  (2)操作A的步骤为        

  (3)检验“水洗”已经洗净的方法是            

  (4)测定产品中CaO2的含量的实验步骤是(己知:I2+2S2O32-=2I-+S4O62-):

第一步:准确称取a g产品于锥形瓶中,加入适量蒸馏水和过量的b g KI品体,再滴入适量2 mol·L-1的H2SO4溶液,充分反应:

第二步:向上述锥形瓶中加入几滴淀粉溶液:

第三步:逐滴加入浓度为c mol·L-1的Na2S2O3溶液至反应完全,消耗Na2S2O3溶液VmL。

①第三步反应完全时的现象为      

②产品中CaO2的质量分数为       (用字母表示);

③某同学经实验测得产品中CaO2的质量分数偏高,造成偏高的原因是(测定过程中由操作产生的误差忽略不计,用离子方程式表示)         

试题详情

14.相同温度下,容积相同的甲、乙、丙3个恒容密闭容器中发生可逆反应:

     2SO2(g)+O2(g)    2SO3(g);。实验测得起始、平衡时的有关数据如下表:

容器
起始各物质的物质的量/mol
达到平衡时体系能量的变化
SO2
O2
SO3
Ar

2
1
0
0
放出热量:Q1

1.8
0.9
0.2
0
放出热量:Q2

1.8
0.9
0.2
0.1
放出热量:Q3

     下列叙述正确的是                                                             (   )

     A.Q1=Q2=Q3=197 kJ

     B.达到平衡时,丙容器中SO2的体积分数最大

     C.甲、乙、丙3个容器中反应的平衡常数相等

     D.若在上述条件下反应生成2molSO3(s)的反应热为△H1,则△H1<-197 kJ·mol-1

 

 

 

 

 

 

 

 

非选择题

试题详情

13.J、M、R、T是原子序数依次增大的短周期主族元素,J、R在周期表中的相对位置如右下表。已知:J元素最低负化合价的绝对值与其原子最外层电子数相等,M是地壳中含量最多的金属元素。下列说法错误的是            (   )

     A.J和氢组成的化合物分子中只含有极性共价键

     B.工业上用电解M和T组成的化合物来制备M

     C.R、T两元素的气态氢化物中,T的气态氢化物更稳定

     D.J、M、R、T元素最高价氧化物对应的水化物中酸性最强的是HTO4

试题详情

12.下列说法正确的是                                                             (   )

     A.分散系中分散质粒子的大小:Fe(OH)3悬浊液<Fe(OH)3胶体<FeCl3溶液

     B.可利用反应2CO=2C+O2(H>O、S<0)来消除CO污染

     C.若弱酸HA的酸性强于弱酸HB,则相同物质的量浓度的钠盐溶液的碱性:NaA<NaB

     D.除去Cu粉中混有的CuO,可将混合物加入稀硝酸中,充分反应后过滤、洗涤

试题详情

10.人工合成的一种甜味剂的结构简式如右图所示下列说法正确的是               (   )

     A.分子式是C14H19N2O5

     B.该物质分子中含有2个手性碳原子

     C.该物质能发生取代、加成、缩聚反应

     D.1 mol该物质与NaOH溶液反应,最多

消耗2 mol NaOH

放电
充电
 
11.如图装置(I)为一种可充电电池的示意图,其中的离子交换膜只允许K+通过,该电池放电、充电的化学方程式为:2K2S2+KI3     K2S4+3KI。装置(II)为电解池的示意图。当闭合开关K时,电极X附近溶液先变红。则闭合K时,下列说法正确的是                        (   )

     A.K+从右到左通过离子交换膜

     B.电极A上发生的反应为:3I--2e-=I3-

     C.电极X上发生的反应为:2Cl--2e-=C12

     D.当有0.1 mol K+通过离子交换膜,X电极上产生1.12 L气体(标准状况)

试题详情

9.常温下,向10mL 0.1 mol·L-1NaOH溶液中逐滴加入0.1mol·L-1醋酸溶液,所得滴定曲线如右图所示。下列说法正确的是                                              (   )

     A.pH=7时,所加醋酸溶液的体积为10mL

     B.pH<7时,溶液中c(CH3COO-)>c(Na+)

     C.7<pH<13时,溶液中

c(Na+)>c(CH3COO-)>c(OH-)>c(H+)  

     D.继续滴加0.1 mol·L-1醋酸溶液,溶液pH可以变为1

试题详情


同步练习册答案