0  418137  418145  418151  418155  418161  418163  418167  418173  418175  418181  418187  418191  418193  418197  418203  418205  418211  418215  418217  418221  418223  418227  418229  418231  418232  418233  418235  418236  418237  418239  418241  418245  418247  418251  418253  418257  418263  418265  418271  418275  418277  418281  418287  418293  418295  418301  418305  418307  418313  418317  418323  418331  447090 

13.酒后驾车是引发交通事故的重要原因。交警对驾驶员进行呼气酒精检测的原理是:橙色的K2Cr2C7酸性水溶液乙醇迅速生成蓝绿色Cr3+。下列对乙醇的描述与此测定原理有关的是

①乙醇沸点低   ②乙醇密度比水小

③乙醇有还原性  ④乙醇是烃的含氧化合物

A.②④           B.②③            C.①③            D.①④

答案C

[解析]乙醇沸点低,易挥发,故可以易被检测。K2Cr2C7具有强氧化性,可以氧化乙醇,自身生成Cr3+

[考点分析]本题考查乙醇的性质。

试题详情

12.右图是石油分馏塔的示意图,a、b、c三种馏分中

A.a的沸点最高

B.b的熔点最低

C.c的平均分子量最大

D.每一种馏分都是纯净物

答案C

[解析]a、b、c三种馏分均为蒸气,故最上面的熔沸点最低,C的熔点最大,对应的平均相对分子量也最大。

[考点分析]考查物质熔沸点与相对分子质量间的关系。

试题详情

11.茫茫黑夜中,航标灯为航海员指明了方向。航标灯的电源必须长效、稳定。我国科技工作者研制出以铝合金、Pt-Fe合金网为电极材料的海水电池。在这种电池中

①铝合金是阳极  ②铝合金是负极

③海水是电解液  ④铝合金电极发生还原反应

A.②③           B.②④           

C.①②            D.①④

答案A

[解析]电池电极只称为正、负极,故①错。其中活泼的一极为负极,即为铝合金,②对。电极在海水中,故海水为电解质溶液,③对。④铝合金为负极,则发生氧化反应,故错。

[考点分析]原电池的构成及电极反应的判断。

试题详情

10.右图是一个一次性加热杯的示意图。当水袋破裂时,水与固体碎块混和,杯内食物温度逐渐上升。制造此加热杯可选用的固体碎块是

A.硝酸铵                           B.生石灰

C.氯化镁                            D.食盐

答案B

[解析]生成灰能与水放出大量的热。

[考点分析]考查常见物质的放热和吸热反应。

试题详情

20.(20分)

  20-1-20-3题为选择题,每小题3分,在每小题给出的四个选项中,只有一项是符合题目要求的。20-4题为非选择题,请在答题纸相应位置做答。

20-1.下列有关肥皂的叙述中错误的是:

   A.肥皂与纯碱的去污原理相同

   B.肥皂可以加速油污在水中的分散

   C.肥皂是油脂在碱性条件下水解生成的

   D.肥皂主要成分的分子中含有亲油基团和亲水基团

答案A 

[解析]A中纯碱的去污原理是碱性条件使油污水解,去污原理与肥皂不同;其他均为正确的叙述。

20-2.下列使用化肥、农药的描述中正确的是:

   A.高温多雨时比较适合施用钾肥

   B.长期施用硫铵会造成土壤板结

   C.石硫合剂必须与硫酸混合后才能施用

   D.过磷酸钙必须经硫酸处理后才能施用

答案B 

[解析]A中钾肥易溶于水,多雨时易造成化肥的流失;B中硫铵溶于水呈酸性,易破坏土壤的胶体结构使土壤板结;C中石硫合剂主要成分是多硫化钙,具有渗透和侵蚀病菌细胞及害虫体壁的能力,能在植物体表面形成一层药膜起保护作用,如果和硫酸混合后施用,会生成硫酸钙使石硫合剂失去作用。D中有效成份为Ca(H2PO4)2,属水溶性速效磷肥,应直接使用。

20-3.下列有关硬水及其软化的说法中错误的是:

   A.离子交换法可以软化硬水

   B.硬水中含有较多Ca2+、Mg2+

   C.生产、生活使用的天然水必须经软化

   D.加热可使暂时硬水中的Ca2+生成CaCO3沉淀

答案C

[解析]A、B、D是一些常识,C中生活使用的硬水不是“必须”经软化使用。

20-4(11分)

   工业上常用氨氧化法生产硝酸,其过程包括氨的催化氧化(催化剂为铂铑合金丝网)、一氧化氮的氧化和水吸收二氧化氮生成硝酸。请回答下列问题:

   (1)氨催化氧化的化学方程式为           

   (2)原料气中空气必须过量,其主要原因是               

   (3)将铂铑合金做成薄丝网的主要原因是                  

   (4)水吸收二氧化氮生成硝酸为放热反应,其化学方程式为        ,为了提高水对二氧化氮的吸收率,可采取的措施为          (答2项)

答案

(1)

(2)提高氨的转化率和一氧化氮的转化率

(3)增大单位质量的催化剂与反应物的接触面积

(4)3NO2 + H2O = 2HNO3 + NO     加压     降温

[解析](1)

(2)根据平衡原理,增大反应物的浓度,平衡向正反应方向移动,以提高原料的转化率;

(3)这是为了增大铂铑合金的表面积,使接触面积增大,提升催化的效果;

(4)为了提高吸收率,可根据溶解过程放热采用降温处理,且气体的吸收可用加压的方式。

2009年普通高等学校招生全国统一考试

试题详情

19.(20分)

  19-1-19-3为选择题,每小题3分,在每小题给出的四个选项中,只有一项是符合题目要求的。19-4题为非选择题,请在答题纸相应位置做答。

19-1.在以离子键为主的化学键中常含有共价键的成分。下列各对原子形成化学键中共价键成分最少的是:

   A.Li,F   B.Na,F  C.Na,C1   D.Mg,O

答案B 

[解析]比较两原子电负性的差,其中Na与F的电负性差最大。

19-2.下列有关物质性质、结构的表述均正确,且存在因果关系的是:

 
表述Ⅰ
表述Ⅱ
A
在水中,NaCl的溶解度比I2的溶解度大
NaCl晶体中C1-与Na+间的作用力大于碘晶体中分子间的作用力
B
通常条件下,CH4分子比PbH4分子稳定性高
Pb的原子半径比C的大,Pb与H之间的键能比C与H间的小
C
在形成化合物时,同一主族元素的化合价相同
同一主族元素原子的最外层电子数相同
D
P4O10、C6H12O6溶于水后均不导电
P4O10、C6H12O6均属于共价化合物

答案B 

[解析]A选项中,NaCl溶于水是离子晶体的特性,I2是非极性分子溶解度小;B选项中分子的稳定性与键能有关,所以正确;C中形成化合物不一定是最高价或最低价,所以不与最外层电子数呈因果关系;D选项因P4O10发生了反应,所以不能证明P4O10是共价化合物。

19-3.下列说法中错误的是:

   A.SO2、SO3都是极性分子

   B.在NH4+ 和[Cu(NH3)4]2+中都存在配位键

   C.元素电负性越大的原子,吸引电子的能力越强

   D.原子晶体中原子以共价键结合,具有键能大、熔点高、硬度大的特性

答案A 

[解析]A选项中,SO3是平面三角形的分子,为非极性分子,明显错误。

19-4(11分)

   已知A、B、C、D和E都是元素周期表中前36号的元素,它们的原子序数依次增大。A与其他4种元素既不在同一周期又不在同一主族。B和C属同一主族,D和E属同一周期,又知E是周期表中1-18列中的第7列元素。D的原子序数比E小5,D跟B可形成离子化合物其晶胞结构如右图。

   请回答:

  (1)A元素的名称是          

  (2)B的元素符号是        ,C的元素符号是        ,B与A形成的化合物比C 与A形成的化合物沸点高,其原因是          

  (3)E属元素周期表中第     周期,第     族的元素,其元素名称是     ,  它的+2价离子的电子排布式为          

  (4)从图中可以看出,D跟B形成的离子化合物的化学式为       ;该离子化合  物晶体的密度为ag·cm-3,则晶胞的体积是         (只要求列出算式)。

答案

 

[解析]从D、E是周期表中1-18列中E排第7列可判断E是第4周期VIIB族,所以D也在第4周期;图中离子化合物D:B=1:2,则D为Ca,且B的序数在前面,B为F,C为Cl;A与其他4种元素既不在同一周期又不在同一主族,所以A为H。

(2)考查氢键;(3)锰在周期表中的位置,+2价时已经失去个电子,所以排布式为[Ar]3d5

(4)ρ= = (40+38)×4÷(6.02×1023)g÷V = a g·cm-3

V =

试题详情

18.(20分)

  18-1-18-3为选择题,每小题3分,在每小题给出的四个选项中,只有一项是符合题目要求的。18-4题为非选择题,请在答题纸相应位置做答。

18-1.下列化合物的核磁共振氢谱中出现三组峰的是:

A.2,2,3,3一四甲基丁烷   B.2,3,4一三甲基戊烷

C.3,4一二甲基己烷      D.2,5一二甲基己烷

答案D 

[解析]分析题中各项分子中有几种不同的氢,则就有几组峰。A中只有1种氢,B中有4种,C中有4 种,D中有3种。

18-2.已知某氨基酸的相对分子质量小于200,且氧的质量分数约为0.5,则其分子中碳的个数最多为:

A.5个   B.6个   C.7个   D.8个

答案B

[解析]设分子中含羧基的数目是解题的关键。

含羧基数
氧所占相对原子质量和
相对分子质量约为
氨基占相对原子质量和
碳原子约所占相对原子质量和
最多可含碳数
是否合理
1
32
64
16
14
1
不合理
2
64
128
16
48
4
合理
3
96
192
16
80
6
合理

18-3.分子式为C5H10O2的酯共有(不考虑立体异构) :

  A.7种   B.8种   C.9种   D.10种

答案C 

[解析]为了不出现遗漏,写的时候可以按如下分类来写异构体:

甲酸丁酯4种(丁基4种异构)、乙酸丙酯2种(丙基2种异构)、丙酸乙酯1种、丁酸甲酯2种(丁酸的烃基为丙基,丙基2种异构)共9种。

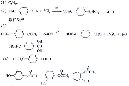
18-4(11分).以下是某课题组设计的合成聚酯类高分子材料   的路线:

  已知:

①A的相对分子质量小于110,其中碳的质量分数约为0.9;

   ②同一碳原子上连两个羟基时结构不稳定,易脱水生成醛或酮:

   ③C可发生银镜反应。

   请根据以上信息回答下列问题:

   (1)A的分子式为          

   (2)由A生成B的化学方程式为      ,反应类型是        

   (3)由B生成C的化学方程式为     ,该反应过程中生成的不稳定中间体的结构简式应是           

   (4)D的结构简式为        ,D的同分异构体中含有苯环且水解产物之一为  乙酸的有            (写结构简式)。

答案

 [解析]合成题通常用逆推法:

逆推的第三步用到了题中所给的信息。(4)中能水解,且水解产物之一为乙酸,则一定为乙酸酯,所以有邻、间、对三种同分异构体。

试题详情

17.(9分)

   某含苯环的化合物A,其相对分子质量为104,碳的质量分数为92.3%。

   (1)A的分子式为         

   (2)A与溴的四氯化碳溶液反应的化学方程式为       ,反应类型是    

(3)已知:   。请写出A与稀、冷的KMnO4溶液在碱性条件下反应的化学方程式       

  (4)一定条件下,A与氢气反应,得到的化合物中碳的质量分数为85.7%,写出此化合物的结构简式               

  (5)在一定条件下,由A聚合得到的高分子化合物的结构简式为         

答案(1)C8H8

(2);加成反应

(3)

(4) ; (5)

[解析](1)m(C)=92.3%×104=96 则m(H)=8,此含量不可能含其他原子。则96÷12=8  所以分子式为C8H8

(2)该分子中含苯环,且分子能与溴的四氯化碳溶液反应,所以A应为乙烯基苯,该反应为加成反应;

(3)分子中有碳碳双键,直接套用信息可得结果;

(4)加氢反应,若只加成碳碳双键,则含H 9.43%,若苯环也加氢,则含H 14.3%,后者符合题意。

(5)按碳碳双键的加聚反应写即可。

  选考题(请考生在第18、19、20三题中任选一题做答,如果多做,则按所做的第一题计分。做答时用2B铅笔在答题卡上把所选题目的题号涂黑)。

 

试题详情

16.(9分)

   下图表示从固体混合物中分离X的2种方案,请回答有关问题。

    

  (1)选用方案I时,X应该具有的性质是      ,残留物应该具有的性质是     

(2)选用方案Ⅱ从某金属粉末(含有Au、Ag和Cu)中分离Au,加入的试剂是     ,有关反应的化学方程式为       

(3)为提纯某Fe2O3样品(主要杂质有SiO2、A12O3),参照方案I和Ⅱ,请设计一种以框图形式表示的实验方案(注明物质和操作)             

答案(1)加热时可升华,或易挥发     热稳定性好,且没有挥发性

(2)浓硝酸,Ag+2HNO3(浓) = AgNO3  + NO2 ↑+ H2O;

Cu + 4 HNO3(浓) = Cu(NO3)2 + 2NO2 ↑+2 H2O

(3)

 

[解析](1)从题中给的信息可理解为升华或蒸馏,因此X的性质为加热时可升华,或易挥发。残留物必须热稳定性好,且没有挥发性。

(2)金、银、铜三种金属金的活泼性最差,不能与硝酸反应,选用硝酸作为试剂,过滤即可。

(3)三种氧化物中,SiO2、Al2O3都能与强碱发生反应,但Fe2O3不会反应,可以选浓NaOH溶液反应后过滤。但如果SiO2的含量大,则不宜用前面所述方法,可选用盐酸溶解,过滤后去除SiO2,再在混合液中加入过量的溶液,过滤得Fe(OH)3沉淀,洗涤后加热分解的方法。

试题详情

15.(9分)

   Li-SOCl2电池可用于心脏起搏器。该电池的电极材料分别为锂和碳,电解液是LiAlCl4-SOCl2。电池的总反应可表示为:4Li+2SOCl2 = 4LiCl +S +SO2

   请回答下列问题:

   (1)电池的负极材料为       ,发生的电极反应为        

   (2)电池正极发生的电极反应为          

(3)SOCl2易挥发,实验室中常用NaOH溶液吸收SOCl2,有Na2SO3和NaCl生成。 如果把少量水滴到SOCl2中,实验现象是       ,反应的化学方程式为      

   (4)组装该电池必须在无水、无氧的条件下进行,原因是          

答案(1)负极材料为Li(还原剂),Li – e- = Li+

(2)2SOCl2 + 4 e- = 4Cl- + S + SO2

(3)出现白雾,有刺激性气体生成SOCl2 + H2O = SO2 ↑+ 2HCl↑

(4)因为构成电池的两个主要成份Li能和氧气水反应,且SOCl2也与水反应

[解析]分析反应的化合价变化,可得Li为还原剂 ,SOCl2为氧化剂。

(1)负极材料为Li(还原剂),Li – e- = Li+ 

(2)负极反应式可由总反应减去负极反应式得到:2SOCl2 + 4 e = 4Cl + S + SO2

(3)题中给出有碱液吸收时的产物,则没有碱液吸收时的产物应为SO2和HCl,所以现象应该为出现白雾和有刺激性气体生成。

(4)因为构成电池的两个主要成份Li能和氧气水反应,且SOCl2也与水反应

试题详情


同步练习册答案