0  418234  418242  418248  418252  418258  418260  418264  418270  418272  418278  418284  418288  418290  418294  418300  418302  418308  418312  418314  418318  418320  418324  418326  418328  418329  418330  418332  418333  418334  418336  418338  418342  418344  418348  418350  418354  418360  418362  418368  418372  418374  418378  418384  418390  418392  418398  418402  418404  418410  418414  418420  418428  447090 

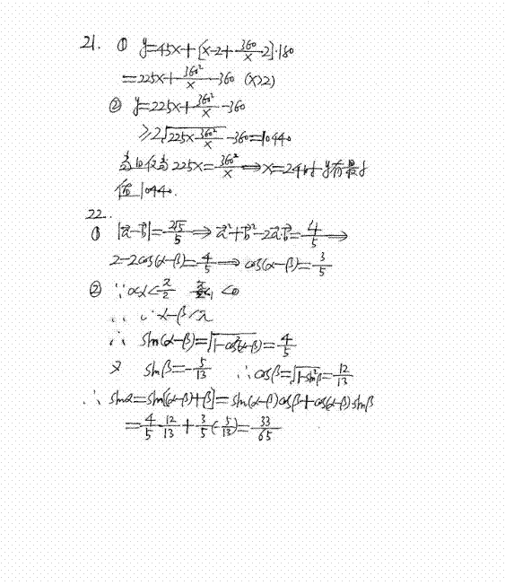
22.(本小题满分15分)

    已知:向量

    (1)求:的值;

    (2)若,且,求:的值。

试题详情

21.(本题满分14分)

  围建一个面积为360m2的矩形场地,要求矩形场地的一面利用旧墙(利用旧墙需维修),其它三面围墙要新建,在旧墙的对面的新墙上要留一个宽度为2m的进出口,已知旧墙的维修费用为45元/m,新墙的造价为180元/m,设利用的旧墙的长度为x m,围墙的总费用为y元

(Ⅰ)将y表示为x的函数:

(Ⅱ)试确定x,使修建此矩形场地围墙的总费用最小,并求出最小总费用。

试题详情

20.(本题14分)          

,xy=2,若x+y-k≥0对任意、恒成立,求实数k的取值范围

试题详情

19.(本题满分14分)

    已知:函数

    (1)求:f(x)的值域及最小正周期;

    (2)求:f(x)的单调减区间;

    (3)若,求:sin2x的值。

试题详情

18.(本题14分)在锐角三角形中,边a、b是方程x2-2x+2=0的两根,角A、B满足:2sin(A+B)-=0,

求角C的度数,边c的长度及△ABC的面积。

试题详情

17.(本题满分14分)

    已知:向量

    (1)当时,求:x的值;

    (2)求:函数的最大值。

试题详情

16.若,若的夹角为30°,=_______。

试题详情

15.若,则p,q的大小关系是     

试题详情

14.定义在R上的函数既是偶函数又是周期函数,若f(x)的最小正周期为,且当时,,则的值为_____________________。

试题详情

13. 向量,若的夹角为锐角,则m的取值范围是_____________。

试题详情


同步练习册答案