0  419822  419830  419836  419840  419846  419848  419852  419858  419860  419866  419872  419876  419878  419882  419888  419890  419896  419900  419902  419906  419908  419912  419914  419916  419917  419918  419920  419921  419922  419924  419926  419930  419932  419936  419938  419942  419948  419950  419956  419960  419962  419966  419972  419978  419980  419986  419990  419992  419998  420002  420008  420016  447090 

  (2007·全国文综Ⅱ)读下图,回答1-2题。

 

1.为了加强水土保持,甲、乙、丙、丁四地段中,最应退耕还林(草)的是              (   )

A.甲            B.乙          C.丙          D.丁

答案  B

2.甲、乙、丙、丁四地段中,灌溉条件最好的地段是                        (   )

A.甲            B.乙          C.丙          D.丁

答案  D

3.黄土高原水土流失较南方丘陵山区严重。其最主要自然原因是                   (   )

 A.黄土高原降水量较南方丘陵山区大          B.黄土高原降水强度较南方丘陵山区小

C.黄土高原植被破坏较南方丘陵山区严重        D.黄土高原上黄土抵抗侵蚀能力极低

答案  D

4.读“黄河水系示意图”与“黄河干流含沙量和水量沿线变化示意图”,结合所学的知识,回答有关问题。

(1)图中A、B两条曲线中,表示流量曲线的是         ,表示含沙量曲线的是          

(2)青铜峡至银川的一段黄河干流绕行在黄土高原的边缘,两岸附近还有一些沙漠分布,但这一段河水的含沙量

却增加很少,原因是:①                                   

                                             

(3)在潼关下游的干流上建设小浪底水利枢纽,其主要功能是                       

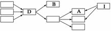
(4)下图是“黄河中下游地区部分自然要素关联图”,将下列选项前面的序号填入相应的方框内,使知识体系成立。

 

  A.华北平原巨厚冲积层的形成            B.农业生态条件的恶化

C.植被破坏严重                  D.水土流失严重

E.河流泥沙含量增加                F.“地上河”的形成

G.黄土土质疏松                  H.降水集中,多暴雨

I.华北地壳缓慢下沉                J.渤海形状基本未变

答案  (1)A  B (2)①这一段河流处于干旱、半干旱地区,降水少、支流少、来沙少

②流经宁夏平原时,地势平缓,大量泥沙沉积

(3)降洪降沙(或防洪、减淤、防凌),确保下游安全

(4)左三框为C、G、H(可互换);中间一框为E;右上框为J;右下框为F。

第2课时  荒漠化的防治

 

考点一  荒漠化防治的地理背景

  强化专练

1.读以下材料,完成下列问题。

材料一  如右图

材料二  地处黑河中游的张掖地区近50年间,人口由55万增至116万,耕地由10万公顷增加到26万公顷,中游沿岸建成的平原水库27座,截流了几乎全部的上游来水。

材料三  额济纳旗草原过去曾是水草丰美、牛羊成群的地方,现在草木枯萎,到处是戈壁沙漠,一片荒凉,已难见草原风光。

(1)弱水属于        河,该河的补给主要是          ,其流量随           

变化而变化。

(2)结合资料,分析说明额济纳旗草原退化的主要原因。

(3)该地是华北地区沙尘暴源地之一。试分析其形成的主要自然原因。

(4)防治该地区荒漠化的最有效措施是                                

答案  (1)内流河(内陆河)或季节河  祁连山的冰雪融水  气温(温度)

(2)人口剧增,过度开垦,水资源的不合理利用。

(3)背景:深居内陆,气候干旱,地表水缺乏,植被稀少。动力:风力作用显著。物质:地表多疏松的沙质沉积物。

(4)恢复自然植被或者退耕还草、还牧

考点二  荒漠化的防治

   强化专练

2.(2009·哈师大附中月考)2008年6月17日是第14个世界防治荒漠化和干旱日。2008年“世界防治荒漠化和干旱日”的主题是“防治土地退化以促进可持续农业”。读图,回答下列问题。

(1)A地沙漠的名称是           沙漠,B地沙漠所在的省区是           (填写简称)。华北地区冬春季节经常出现的            是土地荒漠化的迹象。

(2)我国这个地区荒漠化快的人为原因是                  

(3)根据沙漠景观图判断风向箭头应是                ;从外力作用表现形式分析,沙丘是

           作用下形成的,沙丘的移动是             作用的结果。

(4)土地荒漠化向东、向南扩展的原因是                              

(5)针对图中所示地区出现的环境问题,我国采取的主要措施有哪些?

答案  (1)塔克拉玛干  内蒙古  沙尘暴(或扬沙、扬尘天气)

(2)过度樵采、过度放牧、过度垦殖等

(3)b  风力沉积  风力搬运

(4)该地区西部、北部是沙漠集中分布地区,在强劲的西北季风作用下,土地荒漠化向东、向南扩展

(5)营造“三北”防护林体系和退耕还牧、退耕还林,增加植被覆盖率,防止风沙危害。

命题视角  西北地区荒漠化的防治及环境问题

[例](2007·江苏地理)发源于祁连山的弱水经河西走廊,最终流入内蒙古自治区境内。下图为“河西走廊弱水流域简图”。读图回答下列问题。

(1)该流域地处我国三大自然区的                     区。

(2)弱水年总径流量为43亿立方米,在河西走廊绿洲农业灌溉中发挥了重要作用。其径流量较为丰富的主要原因是            

(3)弱水下游流入甲、乙两湖,乙湖已于上世纪后期彻底干枯,成为沙尘暴的源地之一。造成这一结果的人为因素主要有                              

我国荒漠化防治的主要措施有                     

(4)请简要评价该流域所在自然区经济发展的自然条件。

答案  (1)西北干旱与半干旱         (2)有较丰富的冰雪融水补给

(3)中上游用水过度(水资源利用不当)  过度农垦  过度放牧  过度樵采(植被破坏)   生物措施(植树

种草等)  工程措施(设置沙障等)

(4)有利条件:矿产(能源)资源丰富;草场广布(草质优良);光照条件好。

不利条件:气候干旱、水资源缺乏;生态环境脆弱。

  变式演练

新华社2007年3月31日电  据国家林业局荒漠化监测中心的最新监测,受蒙古反气旋和较强冷空气影响,内蒙

古中西部部分地区、宁夏北部、陕西北部等地30日出现沙尘天气,局部地区发生沙尘暴或强沙尘暴,受影响土地面积约68万平方千米,受影响的人口约630万。结合“我国沙尘天气分布图”、“沙尘暴路径示意图”和“亚洲部分地区图”,回答问题。

               

(1)根据亚洲部分地区图,几千万年前,该地区距离海洋较近,气候温暖湿润,现在却气候干燥,试简述其原因。 (2)人类不合理的生产活动是沙尘暴频发的重要原因。将下列备选答案的字母代号填入下图中的适当位置。

A.燃烧矿物燃料      B.土质疏松       C.风力加大

D.二氧化碳增加      E.过度放牧       F.过度开垦       G.气候变暖变干

  (3)结合上述成因联系图,分析人类为防治沙尘暴的发生可采取哪些措施?

(4)从干湿状况看,沙尘暴发生的地区属于我国的                     地区。

(5)近半个世纪以来,我国沙尘暴的发生呈现的趋势是               

(6)试分析沙尘暴路径呈西北--东南走向的原因。

(7)治理沙尘暴的关键是           。我国面积最大的生态工程是             ,为减

轻京津地区风沙的危害起到了屏障作用。

(8)沙尘暴天气的形成常与                  (锋面)过境有关,若该锋过境时,锋前暖气

团水汽含量丰富,在我国北方又容易形成               天气。

(9)近年来,我国北方地区沙尘暴现象日益加剧,分析主要原因有哪些?

答案  (1)印度洋板块与亚欧板块碰撞,导致青藏高原抬升,阻挡了印度洋暖湿气流北上,致使该地区气候变干。

(2)从左向右,从上而下分别是ADGCEFB。

(3)控制人口过快增长;减少温室气体的排放;退耕还林还牧,合理放牧;植树造林,采取工程措施等。

(4)干旱  半干旱

(5)频率加快,间隔变短,范围扩大

(6)因为我国北方地区处于亚洲高压的东部,冬、春季盛行西北季风。

(7)退耕还林还草,保护和恢复地表植被     “三北”防护林体系

(8)冷锋  雨雪

(9)自然原因:气候异常,温度升高,蒸发加剧,土地沙化严重。人为原因:北方草原过度农垦、过度放牧导致草场退化、沙化,林区过度砍伐,导致水土流失严重;建筑工地多,工地建筑用沙缺乏保护等。

 

试题详情

2.读“黄土高原区域简图及高原上某地等高线地形图”,回答下列问题。

(1)对黄土高原进行小流域综合治理,应在a、b、c、d四处采取不同措施。与下列治理措施相适应的地点分别是:打坝建库           ;种草护坡            ;平整土地           ;修筑梯田            

(2)在黄土高原的缓坡上修筑梯田是对该区域治理的一项措施。梯田田埂的水平延伸方向一般与    (   )

A.坡面倾斜方向一致                B.等高线基本平行

C.山谷走向基本一致                D.山脊走向基本平行

(3)梯田的修筑,最显著地改变了山坡的                            (   )

A.形态          B.土壤类型       C.坡向         D.物质组成

(4)图中甲、乙、丙三地,最适宜建窑洞的是          ,原因是                 

(5)图中④处存在的主要生态问题有                                

答案  (1)d  b  a  c  (2)B  (3)A

(4)丙处  丙处与甲处相比,位于向阳坡,采光条件好;位于冬季风背风坡,防寒条件好。丙处与乙处相比,位

于山脊,不易积水

(5)草场退化、湖泊萎缩、生物多样性减少、土地荒漠化

 

命题视角  黄土高原水土流失及区域发展

[例]根据所给资料,回答问题。

材料一

材料二  图乙表示了黄土高原地区降水、植被与侵蚀之间的关系

材料三  下表是图甲中A--B线上某乡的有关资料

(1)根据材料一,从B至A反映出                    地域分异规律,穿过的经济地带包

         

(2)根据材料二,当年降水量小于300 mm时,森林的覆盖率较低,降水的侵蚀力         。当年降水

量在        mm之间,降雨侵蚀力急剧增大,而森林的水土保持作用仍较小。当年降水量超过450 mm时,森林对水土保持作用明显                      

(3)根据材料三,从干湿区上划分,该乡属于             区,耕作制度是         

(4)根据上述材料,目前该乡的人地关系存在哪些问题?如何协调?

答案  (1)纬(经)向  经(纬)向  东部地区-中部地区-西部地区

(2)较低(或弱,或不强)  300至450  增强 (3)半干旱  一年一熟

(4)存在的问题:①降水量少(或半干旱区),降水季节分配不均(或年际变化大),气候灾害对农业影响大;

②垦殖过度,土地贫瘠,土壤侵蚀强度大(或水土流失严重);③耕作不合理,土地收益低,土地生产力低,土地利用不合理(或土地利用向恶性发展);④人口增长快,人均耕地减少;⑤农业结构单一,农业生产水平低。协调措施:①改善生态环境,退耕还(林)草;②治理水土流失;③提高农业技术水平,提高土地生产力;④调整农业结构;⑤政府支持;⑥控制人口增长,提高人口素质;⑦合理放牧;⑧(适当)移民,缓解环境压力。

  变式演练

黄土高原以丰富的能源资源,脆弱的生态环境,尖锐的人地矛盾著称于全国。根据以下资料并结合所学知识回答问题。

(1)黄土高原水土流失的自然原因是               。水土流失的危害是                

(2)黄土高原土地利用落后的耕作制度是             ,使原来的林草植被种源破坏殆尽。目前,形成新的水土流失物源和触发机制的是          

(3)黄土高原小流域综合治理的方针是:                               

答案  (1)土质疏松  多暴雨  耕地减少  河床淤积

(2)轮荒  开矿

(3)保塬、护坡、固沟

试题详情

1.关于黄土高原抵御自然灾害能力较低的叙述,正确的是                      (   )

A.深居内陆,且位于阶梯交界处           B.水土流失严重,但地质地震灾害较少

C.位于从农业向牧业过渡的地区           D.各种自然要素相互交错,自然环境条件不够稳定

答案  D

考点二  水土流失的治理

  强化专练

试题详情

18.图甲为“2000-2005年我国三大产业用电量柱状图”,图乙为“2003年我国东、中、西部发电量和用电量柱状图”。读图,回答下列问题。

甲                 乙

(1)三大产业用电量增长最多的是第        产业,其原因主要是        

(2)我国东、中、西部电力生产与消费的地区差异是                   

(3)填表简述缓解东部地区电力供应紧缺的对策及其理由。

对策
理由
开源方面
 
 
节流方面
 
区际协调
 

答案  (1)二  工业快速发展(工业是用电大户)  (2)东部地区发电量、用电量都大;东部地区用电量大于发电量;中、西部地区发电量大于用电量

(3)见下表:

对策
理由
开源方面
开发新能源
东部地区能源需求量大;中、西部地区能源丰富;东部地区科技水平商
节流方面
降低能耗;调整产业结构
区际协调
实施产业转移;能源跨区域调配

第40讲  三类灾害区域的综合治理

第1课时  水土流失的治理

 

考点一  水土流失的地理背景

  强化专练

试题详情

17.(2008·广东地理)针对我国中部地区现状,国家在“十一五”规划纲要(2006-2010)中提出“促进中部地区崛起”的区域发展战略。山西、河南、湖南、湖北、江西、安徽是我国中部崛起战略中的重要省区。根据下述资料,结合所学知识,回答(1)-(5)题。

资料一

资料二

资料三                    

(1)有人提出“中部塌陷”的说法。根据图二,可以体现这种说法的依据是                

(2)导致中部六省经济发展较慢的主要原因是(多选)                      (   )

A.自然资源相对贫乏                B.与东部地区比,城市群带动能力弱

C.劳动力丰富                   D.交通条件不如东、西部地区

E.“中部崛起”战略尚未实施

(3)下列关于各省工业方面的描述正确的是(多选)                       (   )

A.山西是我国的煤炭能源基地            B.位于湖北的三峡水电站是我国最大的水电站

C.河南、安徽是我国重要的航空航天基地       D.湖南、江西是我国有色金属工业基地

(4)从自然条件角度分析该区域农业发展的优势和不利因素。

(5)分析该区域粮食生产对保障国家粮食安全的重要意义。

答案  (1)①中部地区的国内生产总值比重增幅下降;②在三?大地区中,中部的国内生产总值比重增幅最小 (2)BE   (3)ABD

(4)优势:①该区域位于亚热带和暖温带,光照充足,雨热同期(气候资源丰富)。

②耕作资源丰富,土壤肥沃(有大面积的平原,如鄱阳湖平原、洞庭湖平原等)。

不利因素:①降水季节变化大(变率大),多洪涝、干旱灾害;②初春、冬季多寒潮;③水土流失严重。

(5)意义:①该地区粮食产量占全国的30%以上;②是我国重要的粮食生产基地(是我国小麦和稻米主产地)。

试题详情

16.目前对地球形状的精确研究主要是基于                             (   )

A.遥感技术和地理信息系统             B.全球定位系统和地理信息系统

C.遥感技术和全球定位系统             D.数字地球

答案  A

试题详情

(2008·江苏地理)下图为“江苏省三大产业产值比重与城市人口比重的变化图”。读图,回答14-15题。

14.图中曲线标注的序号与文字说明,对应正确的是(双选)                     (   )

A.①--城市人口比重               B.②--第二产业产值比重

C.③--第三产业产值比重             D.④--第一产业产值比重

答案  CD

15.图示曲线反映了(双选)                                   (   )

A.第二产业产值比重增长的速度最快         B.20世纪90年代末城市化速度最快

C.1990年第三产业产值比重超过第一产业       D.城市人口增长与第二产业发展同步

答案  BC

试题详情

13.(2008·江苏地理)《中国国家地理》根据富饶的程度、人类与自然的和谐程度等,评出我国10大“新天府”,苏北平原名列其中。下列叙述中,属于其入选条件的有                        (   )

①灌溉与泄洪工程建设改善了自然条件

②大面积使用化肥、农药提高了粮食产量

③海平面上升有利于开采利用地下水

④高产稳产农田建设提高了土地生产力

⑤环境保护和生态建设取得了明显成效

A.①③④          B.①②⑤        C.②③⑤        D.①④⑤

答案  D

试题详情

(2008·全国文综Ⅰ)产业重心是区域产业产值空间分布的重心。下图示意中国三次产业重心的经、纬度变化(不含台湾、香港、澳门的统计资料)。完成10-12题。

10.图中①、②、③线依次代表                                  (   )

A.第一产业、第二产业、第三产业          B.第二产业、第三产业、第一产业

C.第一产业、第三产业、第二产业          D.第三产业、第一产业、第二产业

答案  B

11.从产业重心的纬度变化看                                   (   )

A.三次产业重心均向北移动              B.第一产业重心移动最快

C.第二产业重心移动最快              D.第三产业重心移动最快

答案  C

12.自1985年至2003年,产业重心移动的趋势是                          (   )

A.第二产业向东南      B.第二产业向东北    C.第一产业向东南    D.第三产业向东南

答案  D

试题详情

依据各省、市、自治区经济社会发展水平,把我国划分为三个经济地带,三个地带经济发展地带性差异的形成是一系列自然、社会和经济原因综合作用的结果。据此回答7-9题。

7.关于我国三个经济地带的叙述,正确的是                            (   )

A.东部经济地带和东部季风区的范围是基本吻合的

B.西部经济地带位于内陆边远地区,少数民族聚居,均属于沿边省区

C.重庆直辖市属于东部经济地带

D.中部经济地带的能源和矿产资源具有明显优势

答案  D

8.我国西部地带今后经济发展应注重的问题是                           (   )

A.有步骤地重点治理和开发大江大河、能源、矿产等资源

B.大力发展城乡基础设施建设、发展沿边贸易、扩大旅游创汇

C.巩固和加强农业基础,大力发展绿洲农业和林牧业

D.改善生态环境,保护天然林草,因地制宜的退耕还林还草

答案  D

9.关于三个经济地带协调发展的叙述,正确的是                          (   )

A.将部分高能耗、高原料消耗的企业转移到资源丰富的中西部

B.将劳动密集型企业转移到人口稠密的东部

C.将运输量大的企业转移到交通发达的东部

D.将轻工业和农牧业转移到资源短缺的东部

答案  A

试题详情


同步练习册答案