0  421043  421051  421057  421061  421067  421069  421073  421079  421081  421087  421093  421097  421099  421103  421109  421111  421117  421121  421123  421127  421129  421133  421135  421137  421138  421139  421141  421142  421143  421145  421147  421151  421153  421157  421159  421163  421169  421171  421177  421181  421183  421187  421193  421199  421201  421207  421211  421213  421219  421223  421229  421237  447090 

8、已知,则下列结论中正确的是(  )

  A.函数的周期为2;

  B.函数的最大值为1;

  C.将的图象向左平移个单位后得到的图象;

   D.将的图象向右平移个单位后得到的图象;

试题详情

6、设向量, 满足:, , , 则的夹角是(  )

(A)     (B)     

(C)     (D)

(7)一个多面体的三视图分别是正方形、

等腰三角形和矩形, 其尺寸如图,

则该多面体的体积为

  (A)  (B) 

 (C)   (D)

试题详情

4、设变量满足约束条件,则目标函数

=2+4的最大值为( )

A.10           B. 12           C.13          D.14

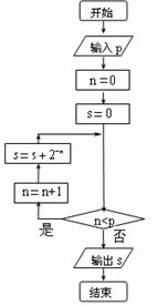
5执行如图的程序框图,如果输入,则输出的(   )

(A)   (B)     (C)   (D)

试题详情

3、已知是三条不同的直线,是三个不同的平面,下列命题中正确的是(  )(A)//       (B)//,//// (C)//       (D)//,////


(第5题)

试题详情

2、设x是实数,则“x>0”是“|x|>0”的 (   )

A.充分不必要条件         B. 必要不充分条件 

C.充要条件            D.既不充分也不必要条件

试题详情

1.集合A={-1,0,1},B={y|y=cosxx∈A},则AB=(  )

     A.{0}         B.{1}         C.{0,1}      D.{-1,0,1}

试题详情

13.红军不怕远征难,________________。

试题详情

12.宜将剩勇追穷寇,________________。

试题详情


同步练习册答案