0  430739  430747  430753  430757  430763  430765  430769  430775  430777  430783  430789  430793  430795  430799  430805  430807  430813  430817  430819  430823  430825  430829  430831  430833  430834  430835  430837  430838  430839  430841  430843  430847  430849  430853  430855  430859  430865  430867  430873  430877  430879  430883  430889  430895  430897  430903  430907  430909  430915  430919  430925  430933  447090 

13.若点是圆的弦的中点,则直线的方程是     

试题详情

12.给出定义:若(其中为整数),则叫做离实数最近整数,记作,即.在此基础上给出下列函数的四个命题:①函数的定义域为,值域为;②函数的图像关于直线对称;③函数是周期函数,最小正周期为1;④函数上是增函数.其中真命题是

A.①②③     B.①③④    C.②③④     D.①②④

第Ⅱ卷(非选择题 共90分)

试题详情

11.已知函数的定义域为,且的导函数 的图象如图所示.则平面区域围成的面积等于

   A.2     B.4       C.8        D.12

试题详情

10.将一颗骰子掷两次分别得到点数,设两条直线

行的概率为,相交的概率为,则复数所对应的点与直线的位置关系是

A. 在直线的右下方         B. 在直线的左下方       

C. 在直线的右上方         D. 在直线的左上方

试题详情

9. 某经济研究小组对全国个中小城市进行职工人均工资与居民人均消费水平进行了统计调查,发现具有相关关系,其回归方程为(单位:千元).某城市居民人均消费水平为,估计该城市消费水平额占人均工资收入的百分比为

 A.        B.        C.      D.

试题详情

8. 如果运行右面的程序框图,那么输出的结果是

A.

B.

C.  

 D.

试题详情

7.已知定义域为的函数为增函数,且函数为偶函数,则

 下列结论不成立的是

A.     B.     C.     D.

试题详情

6.给出下列关于互不相同的直线和平面 的四个命题:

    ①若,则不共面;

    ②若是异面直线,,则

    ③若,且,则

    ④若

   其中为假命题的是  

    A.①      B.②        C.③          D.④

试题详情

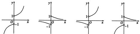
5.函数的图象的大致形状是

A.        B.        C.        D.

试题详情

4. 已知,那么“”是“”的

A.充要条件         B.必要不充分条件 

C.充分不必要条件      D.既不充分也不必要条件

试题详情


同步练习册答案