题目列表(包括答案和解析)

 0  134252  134260  134266  134270  134276  134278  134282  134288  134290  134296  134302  134306  134308  134312  134318  134320  134326  134330  134332  134336  134338  134342  134344  134346  134347  134348  134350  134351  134352  134354  134356  134360  134362  134366  134368  134372  134378  134380  134386  134390  134392  134396  134402  134408  134410  134416  134420  134422  134428  134432  134438  134446  447348 

15.如图是四冲程汽油机工作过程中的一个冲程,它是_________冲程。该冲程气缸内混合燃气内能增加是通过__________方式获得的。随着社会经济的发展,私家车也在逐年增多,由此带来的环境污染也越来越严重。请举一例说明使用汽车所带来的污染:_________________________________________。

试题详情

14.夏日炎炎,很多公园都推出了一个叫“水上行走球"的游乐项目。行走者被关进了一个直径2m多的大塑料球中,充气后封闭起来,然后连人带球被推入水中。如果塑料球和球内气体的质量共计为10kg,游人的质量为50kg。如图游人在水面时,塑料球排开水的体积大约为____________m3;当人和球在水面行走过程中,塑料球受到的浮力___________ (变大/不变/变小)。

 (14) (15)(17)(18)

试题详情

13.家庭电路中卧室和客厅的灯一定是______联的。使用测电笔来判别照明电路的火线和零线时,手接触笔尾金属体,让笔尖接触导线,发现氖管发光,说明该导线是_____线。

试题详情

12.青海省玉树县4月14日07时49分发生地震后,为了及时了解受灾情况,相关部门利用了飞机航拍和卫星遥感技术。飞机航拍只能在白天进行,利用的是地面物体_______ (反射/折射)的可见光来拍摄,拍摄时物体距离相机镜头的距离应___________ (大于/等于/小于)二倍焦距。而卫星遥感则可以昼夜不停地工作,因为它不仅可以感知可见光,还可以感知物体发出的___________ (紫外线/红外线)。

试题详情

11.著名女高音谭晶和男高音廖昌永在国庆六十周年联欢晚会上,合唱了《今天是你的生日》。这里的“高”指的是声音的____________  (响度/音调/音色)高。

试题详情

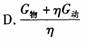
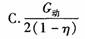
10.如图所示,工人用动滑轮把重物匀速提升到一定高度,重物的重为G,动滑轮的重为G,此装置的机械效率为η,不计绳重和摩擦。则下列表达式不能表示工人所用拉力的大小是

          

试题详情

9.学校走廊的灯经常烧坏,更换十分不便,电工师傅为了减少更换灯泡的次数,采用“挑担灯”解决了这个问题,即将“220V 100W”和“220V 60W”的两盏规格不相同的白炽灯串联接入照明电路中,则它们消耗的总功率

A.等于160w   B.大于60W,小于100W

C.小于60W   D.等于60W

试题详情

8.如图所示,在硬币上方沿着与桌面平行方向用力吹一口气,硬币就可以跳过栏杆。与之原理相同的小实验是

试题详情

7.2009年国庆阅兵前,在北京南苑机场,中国人民解放军先进的直9武装直升机成为国庆飞行演练场上一道靓丽的风景线,如图是直9武装直升机在起飞时的情景,关于此直升机,下列说法中正确的是

A.飞机水平前进时,螺旋桨受到的升力对飞机做功

B.为了提高此直升机的抗打能力,制造时选用了密度很大的材料

C.飞机悬停在空中某一位置时,飞行员相对于空中的白云一定是静止的

D.飞机竖直匀速上升时,飞机的机械能增加

试题详情

6.下列估测数据,最接近实际情况的是

A.汽油机的效率约为95%   B.人体的安全电压是不高于220V

C.洗澡水的温度大约是80℃   D.初中物理课本的宽度约为185mm

试题详情


同步练习册答案