题目列表(包括答案和解析)

 0  158688  158696  158702  158706  158712  158714  158718  158724  158726  158732  158738  158742  158744  158748  158754  158756  158762  158766  158768  158772  158774  158778  158780  158782  158783  158784  158786  158787  158788  158790  158792  158796  158798  158802  158804  158808  158814  158816  158822  158826  158828  158832  158838  158844  158846  158852  158856  158858  158864  158868  158874  158882  447348 

2.用拉力F将一个重为5 N的物体匀

速提升3 m,如图2所示,在这个过

程中,下列说法正确的是(  )

A.物体的重力做了15 J的功

B.拉力F对物体做了15 J的功

C.物体的重力势能增加了15 J

D.合力对物体做的功是15 J

[解析]选B、C.物体上升,重力做负功,WG=-mgh=-5×3 J=-15 J,选项A错误;因为物体匀速上升,所以拉力F=G=5 N,则拉力做功WF=Fh=5×3 J=15 J,选项B正确;因物体克服重力做功15 J,故物体重力势能增加15 J,选项C正确;因为物体匀速上升,合力为零,则合力不做功,选项D错误.

试题详情

1.如图1所示,物体沿不同的路径

从A运动到B,其中按不同的路径:

①有摩擦作用;②无摩擦作用;

③无摩擦作用,但有其他外力拉它.

比较这三种情况下重力做的功W1

W2、W3,重力势能的变化量ΔEP1

ΔEP2、ΔEP3的关系,有以下几种说法:

(1) W1>W2>W3;

(2)W1=W2=W3

(3)ΔEP1=ΔEP2=ΔEP3;

(4)ΔEP1<ΔEP2<ΔEP3.

你认为其中正确的

[解析]选D.重力做功与路径无关,取决于物体初、末位置,且与受不受其他力无关.重力势能的变化量只取决于重力做的功,因此,三种情况下重力做功相同,重力势能的变化量也相同.

试题详情

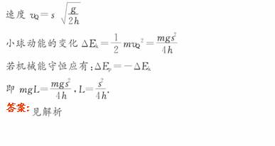
8.(6分)某人设计了一个验证机械

能守恒定律的实验装置,如图2所示,

长为L的细绳一端固定于O点,另一端

拴一个质量为m的小球,绳子下垂时

小球位于N点,在N点的正上方距离约

等于小球半径Q处,放一锋利的刀片,

把绳子绷直拉到水平位置S后释放小球落到N处时,绳被割断,球继续落到桌面的P点,为验证机械能守恒,实验需要记录哪些数据?当它们满足什么关系式时可验证机械能守恒.

[解析]由题目可知小球由S点至N点过程下落的高度等于绳长,过了N点后小球做平抛运动,解答本题可先由ΔEp=-mgL分析重力势能变化量,再结合平抛运动知识分析动能变化量ΔEk.通过两者的比较,验证机械能是否守恒.需要测量的数据:线长L,抛出点离地面的高度h,水平位移s.小球从S到Q势能的变化ΔEp=-mgL由平抛运动规律,小球在Q点处

 

试题详情

6.(2010·岳阳高一检测)(6分)在验证机械能守恒的实验中选出一条纸带如图1所示,以O为起始点,A、B、C三个计数点.打点计时器接通50 Hz的交流电,用最小刻度为毫米的刻度尺测得OA=11.13 cm、OB=17.75 cm、OC=25.9 cm.

这三个数据中不符合有效数字要求的是______,应该写成_________cm,在计数点A和B,B和C之间还各有一个点,重锤的质量为m,根据以上数据,当振针打至B时重锤的重力势能比开始下落时减少了________,这时它的动能增加了___________.(g取9.80 m/s2)由此得出的结论是_________________________.

答案:(1)A、B、D

(2)底板要竖直  给打点计时器通电打点  释放重锤,让它带着纸带一同下落

(3)所选的纸带最初两点间距离接近2 mm

(4)纸带通过打点计时器时的摩擦阻力  小于它所减少的重力势能  质量大一些的

(5)是一条通过坐标原点的倾斜直线  重力加速度

试题详情

5.(5分)在“验证机械能守恒定律”的实验中:

(1)将下列主要的实验步骤,按照实验的合理顺序把步骤前的序号填在题后横线上:__________________

A.用手提着纸带使重物静止在靠近打点计时器处;

B.将纸带固定在重物上,让纸带穿过打点计时器的限位孔;

C.取下纸带,在纸带上任选几点,测出它们与第一个点的距离,并算出重物在打下这几个点时的瞬时速度;

D.接通电源,松开纸带,让重物自由下落;

E.查出当地的重力加速度g的值,算出打下各计数点时的动能和相应的减少的重力势能,比较它们是否相等;

F.把测量和计算得到的数据填入自己设计的表格里.

(2)动能值与相应重力势能的减少值相比,实际上哪个值应偏小些?

答:___________________________________.

[解析](1)实验的合理顺序应该是:BADCFE

(2)由于重物和纸带都受阻力作用,即都要克服阻力做功,所以有机械能损失,即重物的动能值要小于相应重力势能的减少值.

答案:(1)BADCFE  (2)动能值

试题详情

3.(5分)在利用重物自由下落验证机械能守恒定律的实验中,产生误差的主要原因是(  )

A.重物下落的实际高度大于测量值

B.重物下落的实际高度小于测量值

C.重物实际末速度v大于gt(g为重力加速度,t为下落时间)

D.重物实际末速度v小于gt

[解析]选D.由于纸带与打点计时器之间的摩擦力及空气阻力的作用,重物下落的加速度a小于重力加速度g,所以v<gt,故D正确.

试题详情

2.(5分)用自由落体法验证机械能守恒定律的实验中,下列物理量中需要测量的有(  )

A.重物的质量

B.重力加速度

C.重物下落的高度

D.与重物下落高度对应的重物的瞬时速度

试题详情

1.(5分)某位同学做“验证机械能守恒定律”的实验,下列操作步骤中错误的是(  )

A.把打点计时器固定在铁架台上,用导线连接到低压交流电源上

B.将连有重锤的纸带穿过限位孔,将纸带和重锤提升到一定高度

C.先释放纸带,再接通电源

D.更换纸带,重复实验,根据记录处理数据

[解析]选C.本题考查实验的操作步骤及应注意的问题.操作时应先接通电源、再松开纸带,以确保打下第一个点时,纸带开始下落,故C项错误,应选C.

试题详情

4.2《研究机械能守恒定律》第二课时

[素能综合检测]

试题详情

8.(11分)荡秋千是人们喜爱的游戏兼竞技项目,特别是儿童荡秋千可以锻炼平衡感觉系统,培养勇气和胆量.然而纵观各学校、幼儿园及各厂家的秋千,很少有使用说明,有的也仅仅是材质、规格、型号等简单内容.试用学过的知识分析影响绳索所受最大拉力大小的因素,从安全角度考虑,提供几条补充说明,已知秋千绳长为l,摆到最高点时绳与竖直方向的夹角为θ.

从安全角度考虑,提供以下几条补充说明:

(1)绳索的最大承受力(或蹬板的最大载荷量).

(2)摆动中的最大摆角.

(3)3岁以下儿童要在成人监护下使用,需系安全带.

(4)定期检查悬挂系统是否有松动、脱落、损坏等情况.

从安全角度考虑,提供以下几条补充说明:

(1)绳索的最大承受力(或蹬板的最大载荷量).

(2)摆动中的最大摆角.

(3)3岁以下儿童要在成人监护下使用,需系安全带.

(4)定期检查悬挂系统是否有松动、脱落、损坏等情况.

试题详情


同步练习册答案