题目列表(包括答案和解析)

 0  158687  158695  158701  158705  158711  158713  158717  158723  158725  158731  158737  158741  158743  158747  158753  158755  158761  158765  158767  158771  158773  158777  158779  158781  158782  158783  158785  158786  158787  158789  158791  158795  158797  158801  158803  158807  158813  158815  158821  158825  158827  158831  158837  158843  158845  158851  158855  158857  158863  158867  158873  158881  447348 

7.(2010·长沙高一检测)(10分)

如图4所示,半径为R的光滑半圆环

AB竖直固定在光滑的水平地面上,

质量为m的小球以一初速从A点进入

半圆环,刚好能经过最高点B,并从

B点水平向左飞出(不计空气的阻力).求:

(1)小球在A点时的速度的大小.

(2)小球从B点落到水平地面上的C点,水平位移AC的大小.

[探究·创新]

试题详情

6.(思维拓展题)(9分)某人在距离地面2.6 m的高处,将质量为0.2 kg的小球以v0=12 m/s的速度斜向上抛出,小球的初速度方向与水平方向之间的夹角为30°,g取10 m/s2,求:

(1)若不计空气阻力,小球落地时的速度大小是多少?

(2)若小球落地时的速度大小为v1=13 m/s,则在小球运动过程中共有多少机械能转化为内能?

试题详情

5.如图3所示,m1>m2,不计摩擦和空气阻力,m1向下运动过程中,下列说法正确的是(  )

A.m2的机械能增加

B.m1的机械能守恒

C.m1和m2的总机械能减少

D.m1减少的机械能等于m2增加的机械能

[解析]选A、D.m1、m2组成的系统机械能守恒,当m1向下运动时,m2将向上运动,m2的重力势能和动能均在增大,所以m2的机械能增大,增加的机械能一定等于m1减少的机械能.即:ΔE=ΔE.

试题详情

3.(2009·广东高考)游乐场中的一种滑梯如图2所示.小朋友从轨道顶端由静止开始下滑,沿水平轨道滑动了一段距离后停下来,则(  )

A.下滑过程中支持力对小朋友做功

B.下滑过程中小朋友的重力势能增加

C.整个运动过程中小朋友的机械能守恒

D.在水平轨道滑动过程中摩擦力对小朋友做负功

[解析]选D.在滑动的过程中,人受三个力重力、支持力、摩擦力,重力做正功,势能减少,B错.支持力不做功,摩擦力做负功,所以机械能不守恒,A、C皆错,D正确.

试题详情

2.有一质量为m的木块,从半径为r的圆弧曲面上的a点滑向b点,如图1所示.如果由于摩擦使木块的运动速率保持不变,则以下叙述正确的是(  )

A.木块所受的合外力为零

B.木块所受的力都不对其做功

C.木块所受的合外力不为零,但

合外力对木块所做的功为零

D.木块的机械能在减小

[解析]选C、D.由于木块做匀速圆周运动,故木块所受的合外力来提供向心力.故A项错误.木块运动过程中,重力做正功,阻力做负功.合外力与运动方向始终垂直,合外力不做功,故A、B错,C对.由于除重力以外阻力对物体做负功,故木块机械能减小,D对.

试题详情

1.汽车沿一段坡面向下行驶,通过刹车使速度逐渐减小,在刹车过程中(  )

A.重力势能增加    B.动能增加

C.重力做负功     D.机械能不守恒

试题详情

8.(12分)三峡工程的主要数据如下表所示.

求:(1)年平均消耗水能及转化为电能的百分比;

(2)若26台发电机组全部建成并同时发电,则按设计要求年发电时间为多少天?

试题详情

7.(思维拓展题)(10分)一个截面积为S的圆形绝热容器装有质量为m的水,已知水的比热容为c,水的温度为t1.在阳光下照射时间T后,温度升高到t2.若照射时阳光与水平方向的夹角为α,则可估算出太阳光垂直照射时单位面积热辐射的功率为多少?

[探究·创新]

试题详情

6.(8分)新建小区都建有车库,小区业主驾车归来,车辆刚到车库,车库门就自动地慢慢打开,车库门“自动”打开是否消耗能量?假如一扇门高2 m,重60 kg,打开一次大约消耗多少能量(g取10 m/s2)?

试题详情

4.如图1,卷扬机的绳索通过定滑轮用力F拉位于粗糙斜面上的木箱,使之沿斜面加速向上移动.在移动过程中,下列说法正确的是(  )

A.F对木箱做的功等于木箱增加的动能与木箱克服摩擦力所做的功之和

B.F对木箱做的功等于木箱克服摩擦力和克服重力所做的功之和

C.木箱克服重力做的功等于木箱增加的重力势能

D.F对木箱做的功等于木箱增加的机械能与木箱克服摩擦力做的功之和

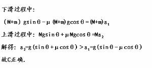
A.m=M

B.m=2M

C.木箱不与弹簧接触时,上滑的加速度大于下滑的加速度

D.在木箱与货物从顶端滑到最低点的过程中,减少的重力势能全部转化为弹簧的弹性势能

试题详情


同步练习册答案