题目列表(包括答案和解析)

 0  166527  166535  166541  166545  166551  166553  166557  166563  166565  166571  166577  166581  166583  166587  166593  166595  166601  166605  166607  166611  166613  166617  166619  166621  166622  166623  166625  166626  166627  166629  166631  166635  166637  166641  166643  166647  166653  166655  166661  166665  166667  166671  166677  166683  166685  166691  166695  166697  166703  166707  166713  166721  447348 

9.某交流发电机正常工作时,电动势e=Emsinωt,若将线框转速提高一倍,其他条件不变,则电动势的变化规律是:

A.eˊ=Emsinωt;  B.eˊ=Emsin2ωt;  C.eˊ=2Emsinωt;  D.eˊ=2Emsin2ωt。

试题详情

8.长为a宽为b的矩形线圈,在磁感强度为B的匀强磁场中垂直于磁场的OO′轴以恒定的角速度ω旋转,设t= 0时,线圈平面与磁场方向平行,则此时的磁通量和磁通量的变化率分别是 (   )

A.0,0      B.0,Babω       C.Babω, Babω      D.Babω,0

试题详情

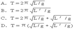
7.一绳长为L的单摆,在平衡位置正上方(L-L′)的P处有一个钉子,如图所示,这个摆的周期是(   )

试题详情

6.玻璃砖放在空气中,一条光线由空气射向界面,则关于该光线的说法错误的是(   ) 

   A.在界面一定同时有反射和折射现象   B.在界面一定同时有反射和折射现象   C.在界面有不可能发生全反射   D.在界面有可能发生全反射

试题详情

5.电子秤使用的是:(   )

A. 超声波传感器     B温度传感器     C压力传感器    D红外线传感器 

试题详情

4.有关麦克斯韦电磁场理论,下列说法错误的是:(   )

   A. 稳定的磁场不产生电场        B.均匀变化的电场一定产生有稳定磁场

C.有电场一定有磁场          D.振荡电场产生同频率的振荡磁场

试题详情

3.如图所示为LC振荡电路中电容器极板上的电量q随时间t变化的图线,以下说法错误的是:(   )

A.在t1时刻,电路中的磁场能最小

B.从t1t2,电路中的电流值不断变小

C.从t2t3,电容器不断充电

D.在t4时刻,电容器的电场能最小

试题详情

2.一列向左传播的横波,某时刻的波形如图所示,可知该时刻P点的运动方向是 (   )

A.y的正向       B.y的负向

C.x的负向       D.沿曲线向左上方

试题详情

1.一弹簧振子振动过程中的某段时间内振子正在向平衡位置运动,则在这段时间内(   )

   A.振子的速度越来越小        B.其加速度数值越来越大

   C.振子受到的回复力越来越大     D.以上说法都错误

试题详情

17、(18分)如图所示,横截面是直角三角形ABC的三棱镜对红光的折射率为n1,对紫光的折射率为n2,一束很细的白光由棱镜的一个侧面AB垂直射入,从另一个侧面AC折射出来,已知棱镜顶角∠A=300AC边平行于光屏MN,且与光屏的距离为L

(1)画出白光通过棱镜折射的光路图.(出射光线只画出两条边缘光线,并指明其颜色)

(2)求在光屏MN上得到的可见光谱的宽度d

试题详情


同步练习册答案