题目列表(包括答案和解析)

 0  167160  167168  167174  167178  167184  167186  167190  167196  167198  167204  167210  167214  167216  167220  167226  167228  167234  167238  167240  167244  167246  167250  167252  167254  167255  167256  167258  167259  167260  167262  167264  167268  167270  167274  167276  167280  167286  167288  167294  167298  167300  167304  167310  167316  167318  167324  167328  167330  167336  167340  167346  167354  447348 

1.有一个物体以初速度v0沿倾角为θ的足够长的粗糙斜面上滑,已知物体与该斜面间的动摩擦因数μ< tanθ,那么能正确表示该物体的速度v随时间t变化的图线是(   ) 

A         B         C         D

试题详情

1、解:(1)下落阶段匀速进入,则有mg=f+,解得v2=

(2)由动能定理知,

离开磁场的上升阶段:(mg+f)h=mv12 ,下落阶段:(mg-f)h=mv22

由以上两式及第(1)问结果得:v1=

(3)分析线框在穿越磁场的过程,设刚进入磁场时速度为v0,由功能关系有:

mv02 -mv12 =(mg+f)(a+b)+Q

由题设知v0=2v1解得:Q=(mg+f)( (mg-f)-a-b)

试题详情

12、A  13、B  14、BCD  15、D  16、AC  17、C  18、C  19、B  20、BD

试题详情

1、A  2、C  3、AB  4、D  5、A  6、BCD  7、A  8、B  9、C  10、B  11、A 

试题详情

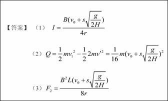
2、如图11所示,在磁感应强度大小为B、方向垂直向上的匀强磁场中,有一上、下两层均与水平面平行的“U”型光滑金属导轨,在导轨面上各放一根完全相同的质量为的匀质金属杆,开始时两根金属杆位于同一竖起面内且杆与轨道垂直。设两导轨面相距为H,导轨宽为L,导轨足够长且电阻不计,金属杆单位长度的电阻为r。现有一质量为的不带电小球以水平向右的速度撞击杆的中点,撞击后小球反弹落到下层面上的C点。C点与杆初始位置相距为S。求:

(1)回路内感应电流的最大值;

(2)整个运动过程中感应电流最多产生了多少热量;

(3)当杆与杆的速度比为时,受到的安培力大小。

试题详情

1、如图所示,将边长为a、质量为m、电阻为R的正方形导线框竖直向上抛出,穿过宽度为b、磁感应强度为B的匀强磁场,磁场的方向垂直纸面向里.线框向上离开磁场时的速度刚好是进人磁场时速度的一半,线框离开磁场后继续上升一段高度,然后落下并匀速进人磁场.整个运动过程中始终存在着大小恒定的空气阻力f且线框不发生转动.求: 

(1)线框在下落阶段匀速进人磁场时的速度V2; 

(2)线框在上升阶段刚离开磁场时的速度V1; 

(3)线框在上升阶段通过磁场过程中产生的焦耳热Q.

试题详情

20、△OMN为玻璃等腰三棱镜的横截面。ab两束可见单色光从空气垂直射入棱镜底面MN,在棱镜侧面OMON上反射和折射的情况如题20图所示,由此可知(   )

A.棱镜内a光的传播速度比b光的小

B.棱镜内a光的传播速度比b光的大

C.a光的频率比b光的高

D.a光的波长比b光的长

试题详情

19、14C是一种半衰期为5730年的放射性同位素。若考古工作者探测到某古木中14C的含量为原来的,则该古树死亡时间距今大约(   )

A.22920年           B.11460

C.5730年           D.2865

试题详情

18、如题16图,某同学将空的薄金属筒开口向下压入水中。设水温均匀且恒定,筒内空气无泄漏,不计气体分子间相互作用,则被掩没的金属筒在缓慢下降过程中,筒内空气体积减小.(   )

A.从外界吸热        B.内能增大

C.向外界放热        D.内能减小

试题详情


同步练习册答案