题目列表(包括答案和解析)

 0  167483  167491  167497  167501  167507  167509  167513  167519  167521  167527  167533  167537  167539  167543  167549  167551  167557  167561  167563  167567  167569  167573  167575  167577  167578  167579  167581  167582  167583  167585  167587  167591  167593  167597  167599  167603  167609  167611  167617  167621  167623  167627  167633  167639  167641  167647  167651  167653  167659  167663  167669  167677  447348 

3.  下列运动中,在任何相等的时间间隔内运动物体的动量改变量完全相同的有(   )

A.自由落体运动                   B.平抛物体运动(不计空气阻力)

C.竖直上抛运动(不计空气阻力)     D.匀速圆周运动

试题详情

2.  摆长为L,摆球质量为m的单摆在作最大摆角的自由摆动,则在从最高点摆到最低点的过程(   )

A.摆线拉力的冲量为零              B.摆球重力的冲量为     

C.摆球重力的冲量为零              D.摆球合外力的冲量为零

试题详情

1.  下列说法中正确的是(   )

A.物体所受合外力越大,其动量变化一定越大

B.物体所受合外力越大,其动量变化一定越快

C.物体所受合外力的冲量越大,其动量变化一定越大

D.物体所受合外力的冲量越大,其动量一定变化得越快

试题详情

11.(19分)2004年高考

    设木块和物块最后共同的速度为v,由动量守恒定律

        ①

    设全过程损失的机械能为E,

    ②

    用s1表示从物块开始运动到碰撞前瞬间木板的位移,W1表示在这段时间内摩擦力对木板所做的功。用W2表示同样时间内摩擦力对物块所做的功。用s2表示从碰撞后瞬间到物块回到a端时木板的位移,W3表示在这段时间内摩擦力对木板所做的功。用W4表示同样时间内摩擦力对物块所做的功。用W表示在全过程中摩擦力做的总功,则

     W1=           ③

W2=       ④

W3=          ⑤

W4=        ⑥

W=W1+W2+W3+W4        ⑦

用E1表示在碰撞过程中损失的机械能,则

E1=E-W            ⑧

由①-⑧式解得

     ⑨

代入数据得

1=2.4J             ⑩

试题详情

11.(18分)

如图,长木板ab的b端固定一档板,木板连同档板的质量为M=4.0kg,a、b间距离s=2.0m。木板位于光滑水平面上。在木板a端有一小物块,其质量m=1.0kg,小物块与木板间的动摩擦因数,它们都处于静止状态。现令小物块以初速沿木板向前滑动,直到和档板相撞。碰撞后,小物块恰好回到a端而不脱离木板。求碰撞过程中损失的机械能。

   

试题详情

10.解:(1)将重物看作是质量为m的质点,设:拉力为F,阻力为f,时间为t,位移为s,加速度为,动摩擦力为

    第一个运动过程中,有:

    四式联立,代入数据,解得:

(2)第二个过程中,有:

    三式联立,代入数据,解得:

    使重物能够到达90m远,即:撤去拉力后重物滑行至90m远.此时刚好速度为零。

    由

     代入数据,解得:

    故拉力至少做功为: (2分) 代入数据,解得:

试题详情

10.(15分)装有装饰材料的木箱A质量为50kg,放在水平地面上,要将它运送到90m远处的施工现场。如果用450N的水平恒力使A从静止开始运动,经过6s钟可到达施工现场。

(1)求木箱与地面间的动摩擦因数。

(2)若用大小为450N,方向与水平方向夹角为斜向上的拉力拉木箱A从静止开始运动,使木箱A能够到达90m远处的施工现场,拉力至少做多少功?(运动过程中动摩擦因数处处相同,取,结果保留2位有效数字)。

试题详情

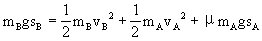
2.解析:B下落过程中,它减少的重力势能转化为A的动能和A克服摩擦力做功产生的热能,B下落高度和同一时间内A在桌面上滑动的距离相等、B落地的速度和同一时刻A的速度大小相等

由以上分析,根据能量转化和守恒有:    ∵vA=vB、sA=sB   vB=0.8m/s

B落地后,A以vA=0.8m/s初速度继续向前运动,克服摩擦力做功最后停下,      

故B落地后,A在桌面上能继续滑动0.16m_

试题详情

9.(10分)如图所示,mA=4kg,mB=1kg,A与桌面动摩擦因数μ=0.2,B与地面间的距离s=0.8m,A、B原来静止. 求:①B落到地面时的速度? ②B落地后,A在桌面上能继续滑行多远才能静止下来?(g取10m/s2)

试题详情

12.(1)B的右端至D板的距离L2

(2)  测量、时间、距离等存在误差,由于阻力、气垫导轨不水平等造成误差。(学生只要答对其中两点即可)

(3)能。

试题详情


同步练习册答案