题目列表(包括答案和解析)

 0  168767  168775  168781  168785  168791  168793  168797  168803  168805  168811  168817  168821  168823  168827  168833  168835  168841  168845  168847  168851  168853  168857  168859  168861  168862  168863  168865  168866  168867  168869  168871  168875  168877  168881  168883  168887  168893  168895  168901  168905  168907  168911  168917  168923  168925  168931  168935  168937  168943  168947  168953  168961  447348 

8.夏天,如果将自行车内胎充气过足,又放在阳光下受暴晒,车胎极易爆裂.关于这一现象有以下描述(暴晒过程中内胎容积几乎不变)

 ①车胎爆裂,是车胎内气体温度升高,气体分子间斥力急剧增大的结果.

 ②在爆裂前的过程中,气体温度升高,分子无规则热运动加剧,气体压强增大.

 ③在爆裂前的过程中,气体吸热,内能增加.

 ④在车胎突然爆裂的瞬间,气体内能减少.

 描述正确的是( ).

 A.①②③④  B.②③④  C.①③④    D.①②④

试题详情

6.某原子核的衰变过程如下:,则( ).

 A.X的中子数比P的中子数少2   B.X的质量数比P的质量数多5

 C.X的质子数比P的质子数少1   D.X的质子数比P的质子数多1

 7.ab两种色光以相同的入射角从某种介质射向真空,光路如图所示,则以下描述错误的是( ).

 A.a光的频率大于b光的频率

 B.a光在真空中的波长大于b光在真空中的波长

 C.a光在介质中的传播速度大于b光在介质中的传播速度

 D.如果a光能使某种金属发生光电效应,b光也一定能使该金属       发生光电效应

试题详情

5.图中,每个电池的电动势为e ,内阻为r,电阻器的电阻R保持不变.甲图中通过R的电流为,乙图中通过R的电流为.已知,则( ).

 A.等于3∶4  B.等于4∶3   C.等于1∶1  D.不能确定

试题详情

4.下列关于超重、失重现象的描述中,正确的是( ).

 A.电梯正在减速上升,人在电梯中处于超重状态

 B.列车在水平轨道上加速行驶,车上的人处于超重状态

 C.荡秋千时当秋千摆到最低位置时,人处于失重状态

 D.在国际空间站内的宇航员处于失重状态

试题详情

3.人类在探索自然规律的进程中总结了许多科学方法,如分析归纳法、演绎法、等效替代法、控制变量法、理想实验法等.在下列研究中,运用理想实验法进行研究的是( ).

 A.爱因斯坦提出光子假说     B.麦克斯韦提出电磁场理论

 C.卢瑟福提出原子的核式结构模型 D.伽利略得出力不是维持物体运动原因的结论

试题详情

2.某人在平直公路上骑自行车,见前方较远处红色交通信号灯亮起,他便停止蹬车,此后的一小段时间内,自行车前轮和后轮受到地面的摩擦力分别为,则( ).

 A.向后,向前   B.向前,向后

 C.向后,向后   D.向前,向前

试题详情

1.将一根原长为40 cm、劲度系数为100 N/m的弹簧拉长为45 cm,则此时弹簧的弹力大小为( ).

 A.45 N   B.40 N  C.85 N  D.5 N

试题详情

6。如图所示电路,电源的电动势E=3V,内阻r=1Ω,电阻R1=10Ω,R2=10Ω,R3=30Ω,

R4=35Ω,电容器的电容C=100µF,电容器原来不带电。求接通开关S后流过R4的总电量。

   分析:阻容电路中与电容器串联的电阻当电容器充放电工作过程中会使其中有电流通过,到底是怎样工作,电流怎么流法,是学生解题过程中容易出错的地方,为避免这样的困难,最好办法就是对始末状态的电容器的极板电性和两极板电压进行判断且标在图上,这样解题不易出错。

  解:接通S后,C与R4串联,R4不分担电压则Uc=U3,

     R外= (R2 +R3) R1/( R1+ R2+ R3)=8Ω

     U外= R外E/(R外+r)=8/3 V

     U3= R3 U外/(R2+ R3)=2V

     Q=C U3=2×10-4C

练习:如图所示的电路中,C2=2C1R2=2R1,下列说法正确的是(   )

   A.开关处于断开状态,电容C2的电量大于C1的电量

   B.开关处于断开状态,电容C1的电量大于C2的电量

   C.开关处于接通状态,电容C2的电量大于C1的电量

   D.开关处于接通状态,电容C1的电量大于C2的电量

试题详情

3.如图所示,在光滑的水平面上有两个方向相反的匀强磁场垂直穿过,磁场的宽度均为l,磁感应强度大小均为B,水平面上放有一正方形金属线框,其边长为a(a<l),电阻为R.若线框以速度v从磁场区左侧匀速向右穿过该磁场区域到达磁场区右侧的过程中,求外力所做的功。

解: 要求线框匀速通过磁场区必须在三过程中靠外力做功。

一过程,线框进入左磁场,W1=F安×a, F安=BIa,I=BaV/R,所以W1=2B²a³V/R

二过程,线框从左磁场到左边进入右磁场,W2=2 F安´×a, F安´= BI´a,I´=2BaV/R

                   所以W2=4 B²a³V/R

三过程,线框离开右磁场过程,W3=W1=2B²a³V/R

W= W1 +W2+ W3=6 B²a³V/R

分析:本题第二过程尤其容易出错在两方面,1.整个线框左右两条边受到安培力的作用,2.此过程电流是第一过程的两倍。避免以上两问题出现的方式唯有画线框的运动草图,对研究过程进行受力分析,把线框切割磁感线产生的等效电源标在图上,结合运动草图分析不易漏力,少电动势。

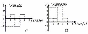
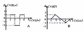
练习: 如图所示,一有界匀强磁场,磁感应强度大小均为B,方向分别垂直纸面向里和向外,磁场宽度均为L,在磁场区域的左侧相距为L处,有一边长为L的正方形导体线框,总电阻为R,且线框平面与磁场方向垂直。现使线框以速度v匀速穿过磁场区域。若以初始位置为计时起点,规定电流逆时针方向时的电流和电动势方向为正,B垂直纸面向里时为正,则以下四个图象中对此过程描述不正确的是(   )

 

   

   4。如图所示,劲度系数为k1的轻质弹簧两端分别与质量为m1,m2的物块1,2拴接,劲度系数为k2的轻质弹簧上端与物块2拴接,下端压在桌面上(不拴接),整个系统处于平衡状态,现施力将物块1缓慢的竖直上提,直到下面那个弹簧刚脱离桌面。则在此过程中,物块1和物块2增加的重力势能分别为:_________,___________。Page 41

解:初状态:k1弹簧被压缩x1=m1g/k1 ,   k2弹簧被压缩x2=(m1+m2)/k2

   末状态:k1弹簧被拉伸x1´=m2g/k2,  k2弹簧恢复原长

   m1重力势能增加了m1g(x1+ x1´)=m1(m1+m2)(1/k1+1/k2)g²

   m2重力势能增加了(m1+m2)m2g²/k2

分析:作这类弹簧问题避免出错的最佳方式可以画特殊状态图,图上需标出弹簧的原长位置和特殊状态物体相对于弹簧原长的位置,如果需要还需标出物体振动的平衡位置,则解题分析就可以参照图上所标的位置找距离和进行受力分析。

练习:如图所示,一个劲度系数为k的轻弹簧竖立在桌面上,弹簧的下端固定于桌面上,上端与一质量为M的金属盘固定连接,金属盘内放一个质量为m的砝码,现让砝码随金属盘一起在竖直方向作简谐振动.为了保证砝码在振动过程中不脱离金属盘,则振动幅度最大不能超过多少?

   5。如图,质量为m的物体静止放在水平光滑的平台上,系在物体上的绳子跨过光滑的定滑轮,由地面的人以速度V0向右匀速走动,设人从地面上平台的边缘开始向右行至绳与水平方向夹角为60º处,在此过程中人作的功为多少?

解:人做功使物体的动能增加直到绳子与水平方向成60º 为止,

  末状态物体的速度为V0cos60º= V0/2

   W=m V0²/8

分析:绳子两端的关联物的运动速度不一定相等是靠绳速联系的,所以遇到这类似的问题必须要先判断一下两关联物的速度情况再着手解题

试题详情

2.跳高是体育课常进行的一项运动。小明同学身高1.70m,质量为60kg,在一次跳高测试中,他先弯曲两腿向下蹲,再用力蹬地起跳,从蹬地开始经0.4s竖直跳离地面。设他蹬地的力大小恒定为1050N,其重心上升可视为匀变速直线运动。求小明从蹬地开始到上升至最大高度时机械能的增量。(不计空气阻力,取g=10m/s²)

错解:起跳蹬地过程中,受到地面弹力F,向上做匀加速运动,因地     面的弹力F与蹬地的力是作用力反作用力,因此有F=F´=1050N

   由牛顿第二定律,F=ma

   经过t=0.40s跳离地面时的速度为v=at

   起跳后人作竖直上抛运动,设上升的最大高度为h,则v²=2gh

   在最高点,动能为零,机械能的增加量为ΔE=ΔEp=mgh

分析:本题过程分息必须清楚,蹬地过程和空中上升过程。错误一,蹬地过程作匀加速直线运动,合外力并不仅有弹力,学生容易忘记分析重力,由于受力较少,所以学生尤其忽略受力分析环节,最终导致从头错起。错误二,机械能的增量考虑的是全过程,其中第一过程机械能增加,空中上升过程机械能守恒。所以过程分析不细致也会导致错误结果。

正确解:蹬地过程,F-mg=ma

          a=F/m –g

        ΔEk=m(at)²/2 =270J

        ΔEp=mgh=360J

     所以   ΔE=270+360=630J

练习:一根质量不计的细绳长, 能承受的最大拉力为, 一端固定在天花板上, 另一端系一质量为的小球, 整个装置处于静止状态, 如图3所示, 若迅速水平敲击一下小球将细绳拉断, 作用在球上的水平冲量至少多大?

试题详情


同步练习册答案