题目列表(包括答案和解析)

 0  168678  168686  168692  168696  168702  168704  168708  168714  168716  168722  168728  168732  168734  168738  168744  168746  168752  168756  168758  168762  168764  168768  168770  168772  168773  168774  168776  168777  168778  168780  168782  168786  168788  168792  168794  168798  168804  168806  168812  168816  168818  168822  168828  168834  168836  168842  168846  168848  168854  168858  168864  168872  447348 

3.物体A的质量为1 kg,置于水平地面上,物体与地面的动摩擦因数为μ=0.2,从t=0开始物体以一定初速度v0向右滑行的同时,受到一个水平向左的恒力F=l N的作用,则

能反映物体受到的摩擦力f随时间变化的图像的是下图中的哪一个(取向右为正方向,g=10m/s2)

试题详情

2.如图所示,一斜面固定在水平地面上,质量不相等的物体,A、B

叠放后.一起沿斜面下滑,已知物体B的上表面水平,则下列

判断正确的是

A.若A、B一起匀速下滑,增加A的质量,A、B仍一起匀速下滑

B.若A、B一起匀速下滑,给A施加一个竖直向下的力F,A、B将加速下滑

C.若A、B一起加速下滑,增加A的质量,A、B仍保持原来的加速度一起加速下滑

D.若A、B一起加速下滑.给A施加一个竖直向下的力F,A、B仍保持原来的加速度一起加速下滑

试题详情

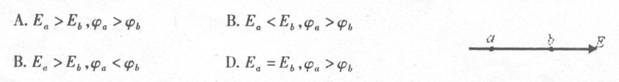
1.如图所示为负电荷电场中的一条电场线, a、b为电场线上的两点.设a、b两点的场强大小分别为Ea、Eb,a、b两点的电势分别为ψa、ψb。,则下列说法正确的是

试题详情

15. 有一带负电的小球,其带电量q= -C。如图所示,开始时静止在场强E=200N/C的匀强电场中的P点,靠近电场极板B有一挡板要S,小球与挡板S的距离h=5cm,与A板距离H=45cm,重力作用不计。在电场力作用下小球向左运动,与挡板S相碰后电量减少到碰前的k倍,已知k=,而碰后小球的速度大小不变。

(1)设匀强电场中挡板S所在位置的电势为零,则电场中P点的电势为多少?小球在P点时的电势能为多少?(电势能用E来表示)

(2)小球从P点出发第一次回到最右端的过程中电场力对小球做了多少功?

(3)小球经过多少次碰撞后,才能抵达A板?(取

 

试题详情

15. 如图所示,AB是固定在竖直平面内半径为R的光滑半圆弧,CD是与AB在同一竖直平面内半径为1.5R的四分之一光滑圆弧轨道,其底端D切线水平,且与AB弧圆心O1等高。现将质量为m的小球(可视为质点)从圆弧CD上与圆心O2等高的C处由静止开始释放,小球落进半圆弧AB并与之内壁碰撞,碰撞过程中不损失机械能,结果小球刚好能回到D点并能沿DC弧返回C处。。求:

⑴小球刚滑倒D点时,对D段的压力大小

⑵CD弧底端D距AB弧圆心O1的距离

⑶小球与圆弧AB的内壁碰撞时的速度大小。

试题详情

14.如图所示,足够长的光滑平行导轨MNPQ竖直放置,磁感应强度为B的匀强磁场垂直穿过导轨平面,导轨的MP两端连接阻值为R=0.40Ω的电阻,质量为m=0.010kg,电阻r=0.30Ω的金属棒ab紧贴在导轨上。现使金属棒ab由静止开始下滑,其下滑距离与时间的关系如下表所示(不计导轨的电阻,取g=10m/s2)

时  间t(s)
0
0.1
0.2
0.3
0.4
0.5
0.6
0.7
下滑距离s(m)
0
0.1
0.3
0.7
1.4
2.1
2.8
3.5

⑴试画出金属棒ab在开始运动的0.7s内的位移-时间图象;⑵求金属棒ab在开始运动的0.7s内电阻R上产生的热量;⑶求重力对金属棒做功的最大功率。

 

试题详情

13. 一质量M=0.2kg的长木板静止在水平面上,长木板与水平面间的滑动摩擦因数μ1=0.1,一质量m=0.2kg的小滑块以v0=1.2m/s的速度从长木板的左端滑上长木板,滑块与长木板间滑动摩擦因数μ2=0.4(如图所示)。

求⑴经过多少时间小滑块与长木板速度相同?

⑵从小滑块滑上长木板到最后静止下来的过程中,小滑块滑动的距离为多少?(滑块始终没有滑离长木块)

试题详情

12.公路上一辆汽车轿车因发动机故障而失去动力,在牵引车准备将它拖到修理厂时,一位同学说:“根据共的计算式W=Fs可知,拖轿车行走过程中必须对它做功,若将它放在牵引车上面运走,可以对它不做功或少做功,拖车不如运车合算”.请你从做功的角度来分析这位同学的说法是否正确。(不考虑上下搬运桥车过程中所作的功,并假设道路是水平的,车的运动是匀速运动,牵引绳水平,两车所受地面的摩擦力均为其重力的k倍,k<1,要求写出必要的表达式)

试题详情

11.请从以下器材中选择适当仪器设计一个电路,要求仅用此电路既能测量待测电阻R x 的阻值(约500Ω)又能测量电源电动势。

a、待测定值电阻R x:阻值约500Ω

b、滑动变阻器R1:总阻值1000Ω

c、电阻箱R2:最大阻值999.9Ω

d、电阻箱R3:最大阻值99.99Ω

e、电流表G:量程3mA,内阻约50Ω 

f、电源E:电动势约为3V,电阻很小但不可忽略

g、开关及导线若干

①实验中应选取的器材有:             (填写器材前面的字母序号) 

②请在虚线框中画出实验电路图

③在测出电阻R x 的值后(记为R x),再利用此装置测量电源E的电动势。还需要测量的物理量有:                                      

                                       

                                  

用所测的物理量表示电源E的电动势为                

试题详情

10.⑴一同学用一游标尺上标有20等分刻度的游标卡尺测一物体的长度.测得的结果如图所示,则该物体的长度L=________ m。

  用螺旋测微器测量一根金属棒直径,金属棒的直径为:       mm

  ⑵在探究加速度与力、质量的关系实验中,采用如图所示的实验装置,小车及车中砝码的质量用M表示,盘及盘中砝码的质量用m表示,小车的加速度可由小车后拖动的纸带由打点计时器打上的点计算出。

①当M与m的大小关系满足       时,才可以认为绳对小车的拉力大小等于盘中砝码的重力。

②在验证牛顿第二定律的实验中,下列做法错误的是(     )

A.   平衡摩擦力时,应将盘及盘中的砝码用细绳通过定滑轮系在小车上

B.    每次改变小车的质量时,不需要重新平衡摩擦力平衡摩擦力时,应将装砂的小桶用细绳绕过滑轮.

C.    实验时先放开小车,再接通打点计时器电源.

D.   小车运动的加速度可用天平测出M及m后直接用公式a=mg/M求出.

 ③在保持小车及车中的砝码质量M一定时,探究加速度与所受合力的关系时,由于平衡摩擦力时操作不当,两位同学得到的a-F关系分别如图所示。 其原因分别是          

                            

试题详情


同步练习册答案