题目列表(包括答案和解析)

 0  169449  169457  169463  169467  169473  169475  169479  169485  169487  169493  169499  169503  169505  169509  169515  169517  169523  169527  169529  169533  169535  169539  169541  169543  169544  169545  169547  169548  169549  169551  169553  169557  169559  169563  169565  169569  169575  169577  169583  169587  169589  169593  169599  169605  169607  169613  169617  169619  169625  169629  169635  169643  447348 

16.(12分)如图质量的小车停放在光滑水平面上,在小车右端施加一水平恒力F=8N。当小车向右运动速度达到3m/s时,在小车的右端轻放一质量m=2kg的小物块,物块与小车间的动摩擦因数,假定小车足够长,问:

   (1)经过多长时间物块停止与小车间的相对运动?

   (2)小物块从放在车上开始经过所通过的位移是多少?(g取)

试题详情

15.(8分)某同学觉得去新疆玩时,最刺激的莫过于做滑沙运动。某人坐在滑沙板上从沙坡斜面的顶端由静止沿直线下滑到达斜面底端时,速度为,设人下滑时所受阻力恒定不变,重力加速度为g。(1)若人在斜面顶端被其他人推了一把,沿斜面以的初速度下滑,求人到达斜面底端的速度大小;(2)经测量沙坡长度为L,斜面倾角为,已知人的质量为m,滑板质量不计,求人沿沙坡下滑时所受阻力的大小。

试题详情

14.(8分)一物体静止在水平面上,它的质量是m,与水平面

的动摩擦因数为μ。用平行于水平面的力F分别拉物体,得到

加速度a和拉力F的关系图象如图所示。利用图象可求出这个

物体的质量m。

甲同学分析的过程是:从图象中得到F=12N时,物体的加速度a=4m/s2, 根据牛顿定律导出:得:m=3kg

乙同学的分析过程是:从图象中得出直线的斜率为:k=tan45°=1, 而,所以m=1kg

   请判断甲、乙两个同学结论的对和错,并分析错误的原因。如果两个同学都错,分析各自的错误原因后再计算正确的结果。

试题详情

13.(12分)在探究牛顿第二定律的实验中,得到以下数据:物质质量不变时,加速度a与物体所受合力F的对应数据如表1;物体所受合力不变时,加速度a和物体质量的倒数1/M的对应数据如下表2

表1

a/(m·s-2)
1.98
4.06
5.95
8.12
F/N
1.00
2.00
3.00
4.00

表2

a/(m·s-2)
2.04
2.66
3.23
3.98
1/M(kg-1)
0.50
0.67
0.80
1.00

  (1)分别画出a – F图象和a – 1/M图象。(画在答题纸的两个坐标图上)

  (2)由a – F图象得到结论是:         ;由a –1 /M图象得到的结论是:        

 

试题详情

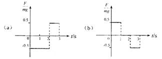
12.如图所示,在倾角为300的足够长的斜面上有一质量为m的物体,它受到

沿斜面方向的力F的作用。力F可按图(a)、(b)(c)、(d)所示的四种方式

随时间变化(图中纵坐标是Fmg的比值,力沿斜面向上为正)。

已知此物体在t=0时速度为零,若用v1v2 v3 v4分别表示上述

四种受力情况下物体在3秒末的速率,则这四个速率中最大(   )

A、v1     B、v2     C、v3     D、v4 .

试题详情

11.如图所示,弹簧秤外壳质量为m0,弹簧及挂钩的质量忽略不计,挂钩

吊着一重物质量为m,现用一方向竖直向上的外力F拉着弹簧秤,使其向上做

匀加速运动,则弹簧秤的读数为:(    )

A.mg;  B. ;  C.;  D.

试题详情

9.如图甲所示,在粗糙的水平面上,物块A在水平向右的外力F的作用下做直线运动,其v-t图像如图乙中实线所示,下列判断正确的是 (   )     

A.在0-1s内,外力F不断变化    B.在1-3s内,外力F的大小恒定

C.在3-4s内,外力F不断变化    D.在3-4s内,外力F的大小恒定

  10.在倾角为θ的固定斜面上放一木板,木板上固定有支架,支架末端用细绳悬挂一小球,当使木板沿斜面下滑时,小球与木板保持相对静止状态。图中①②分别表示木板不同下滑情况下悬绳的位置:①表示木板下滑时细绳沿水平方向,此时细绳对小球拉力大小为T1,木板的加速度大小为a1;②表示木板下滑时细绳与斜面方向垂直,此时细绳对小球拉力大小为T2,木板的加速度大小为a2。关于上述两种情况,下面说法正确的是(   )

                    A.两种情况下,小球均处于失重状态

B.两种情况下,木板下滑的加速度a1>a2    

C.两种情况下,木板下滑的加速度a1<a2

D.两种情况下,绳子对小球的拉力一定是T­1<T2

试题详情

8. 一倾角为θ的光滑斜面固定于电梯中,如图所示,一物体始终相对于斜面静止,下列说法中正确的是          (   )

A. 电梯以加速度gtanθ向左加速  B. 电梯以加速度gtanθ向左减速

C. 电梯做自由落体运动

D. 电梯以加速度g向上加速运动

试题详情

7.如下图质量为M的粗糙斜面上有一,质量为m的木块匀减速下滑,则地面

受到的正压力应当是   (   )

A.等于(M+m)g   B.大于(M+m)g    C.小于(M+m)g   D.无法确定

试题详情

6.. 匀速上升的升降机顶部悬有一轻质弹簧,弹簧下端挂有一小球。若升降机突然停止,在地面上的观察者看来,小球在继续上升的过程中(   )

A. 速度逐渐减小            B. 速度先增大后减小

C. 加速度逐渐增大           D. 加速度逐渐减小

试题详情


同步练习册答案