题目列表(包括答案和解析)

 0  169734  169742  169748  169752  169758  169760  169764  169770  169772  169778  169784  169788  169790  169794  169800  169802  169808  169812  169814  169818  169820  169824  169826  169828  169829  169830  169832  169833  169834  169836  169838  169842  169844  169848  169850  169854  169860  169862  169868  169872  169874  169878  169884  169890  169892  169898  169902  169904  169910  169914  169920  169928  447348 

8.欧姆表测量电阻

(1)测量原理:闭合电路欧姆定律.

(2)仪器构造:如图19所示,包括电流表G(Rg、Ig)、调零电阻R、电源(E、r).注意:红表笔接电源的负极.

(3)调零

①机械调零:多用电表与外电路断开时,指针没有指到零电流刻度处,就可用螺丝刀调节表盘上的机械调零旋纽使指针归零.

②电阻调零及测量原理

a.        如图19所示,当红、黑两表笔短接时,调节R,使电流表指针达到满偏电流(即调零),此时指针所指表盘上满刻度处对应的两表笔间电阻为0,所以电流表的满刻度处被顶为电阻挡的零点,这时有Ig=E/R+Rg+r.

 

b.        当两表笔间的接入待测电阻Rx时,电流表的电流为IX=E/(R+Rg+r)+RX.

当RX改变,IX随着改变,即每一个RX都有一个对应的IX,将电流表表盘上IX处标出对应的RX值,就构成欧姆表的表盘,只要两表笔接触待测电阻两端,即可在表盘上直接读出它的阻值,如图20所示,当RX=R=Rg+r+R时,指针指到中央,可见中值电阻即该欧姆阻挡的内阻.

 

由于电流I与RX不是线性关系,所以欧姆表盘上的刻度线是不均匀的,由右向左逐渐变密.

(4)欧姆表的读数:带测电阻的阻值应为表盘读数乘上倍数,为减小读数误差,指针应指表盘1/3到2/3的部分,否则需换挡.注意:换挡后,需重新进行电阻调零.

试题详情

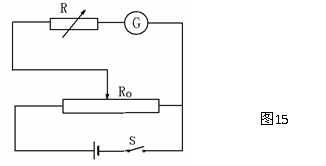
7.半偏法测电阻

(1)半偏法近似测量电流表内阻

方法一:如图15所示,测量电流表G的内阻,操作步骤如下:

①   将电阻箱R的电阻调到零;

②   逼和S,调节R0,使G表达到满偏I0;

③   保持R0不变,调节R,使G表示数为I0/2;

④   由上可得RG=R.

⑤   注意:当RG>>R0时,测量误差小,此方法比较适合测大阻值的灵敏电流表的内阻,且电阻的测量值偏大.

方法二:如图16所示,测量电流表A`的内阻,操作步骤如下:

 

①   断开S2、闭合S1,调节R0,使A表满偏为I0;

②   保持R0不变,闭合S2,调节R,使A表读数为I0/2;

③   由上可得RA=R.

注意:①当R0>>RA时,测量误差小,此方法比较适合测小阻值的电流表的内阻,且电阻的测量值偏小.

②电源电动势应选大些的,这样A满偏时R0才足够大,闭合S2时总电流变化才足够小,误差才小.

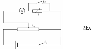
(2)半偏法近似测量电压表内阻

方法一:如图17,测量电压表V的内阻,操作步骤如下:

①   闭合S,调节电阻箱阻值为R1时,测得V表示数为U1;

②   改变电阻箱阻值为R2时,测得V表示数为U1/2;

③   得RV=R2-2R1.

注意:①在电源内阻忽略不计时,测量误差才小.

②这个方法也可测大阻值的G表内阻,若考虑电源内阻,此法测量值偏大.

方法二:如图18所示,测量电压表V的内阻,操作步骤如下:

①   滑动变阻器的滑片滑至最右端,电阻箱的阻值调到最大;

②      闭合S1、S2,调节R0,使V表示数指到满刻度;

③      打开S2,保持R0不变,调节R,使V表指针指到满刻度的一半;

④      由上可得RV=R.

注意:滑动变阻器总电阻应尽量小一些,这样测量误差才会小,且RV测量值偏大.

试题详情

6.替代法测电阻

如图14所示.

S接1,调节R2,读出A表示数为I;

①   S接2,R2不变,调节电阻箱R1,使用A表示数仍为I;

②   由上可得RX=R2.

该方法优点是消除了A表内阻对测量的影响,缺点是电阻箱的电阻R1不能连续变化.

试题详情

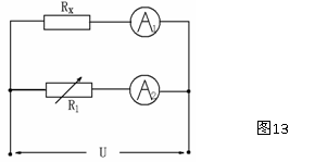
5.比较法测电阻

如图13所示,测得电阻箱R1的阻值及A1表、A2表是示数I1、I2,可得RX=I2R1/I1

如果考虑电表内阻的影响,则I1(Rx+RA1)=I2(R1+RA2)

试题详情

4.电阻箱当电表使用

(1)电阻箱当做电压表使用

如图11所示,可测得电流表的内阻R2=(I1-I2)R/I2.

 

图中电阻箱R可测得A2表两端的电压为(I1-I2)R,起到了测电压的作用.

(2)电阻箱当作电流表使用

如图12所示,若已知R及RV,则测得干路电流为I=U/R + U/RV

图中电阻箱与电压表配合使用起到了测电流的作用.

试题详情

3.伏伏法测电阻

电压表内阻已知,则可当作电流表、电压表和定值电阻来使用.

(1)如图8所示,两电表的满偏电流接近时,若已知V1的内阻R1,则可测出V2的内阻R2=U2 R1/U1·

(2)如图9所示,两电表的满偏电流IV1<<IV2时,V1并联一定值电阻R2后,同样可得V  的内阻

 

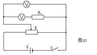
[例5]用以下器材测量电阻RX的阻值(900-1000Ω):电源E,具有一定内阻,电动势约为9.0V;电压表V1,量程为1.5V,内阻r1=750Ω;电压表V2,量程为5V,内阻r2=2500Ω;滑动变阻器R,最大阻值约为100Ω;单刀单掷开关S,导线若干.

(1)测量中要求电压表的读数不小于其量程的1/3,试画出测量电阻RX的一种实验电路原理图(原理图中的元件要用题图中相应的英文字母标注).

(2)若电压表V1的读书用U1表示,电压表V2的读数用U2表示,则由已知量和测得量表示RX的公式为RX=__________.

[分析]很多考生解析此题,首先考虑的就是伏安法,由于本题没有电流表,思维受阻,当然做不正确.本题要运用“电压表(伏特表)算电流”这一创新思维.

[答案](1)测量电阻RX的实验电路如图10所示.

(2)电压表V1的示数为U1,电压表V2的示数为U2,电压表V1的内阻为r1,根据串联、并联电路的规律,算出Rx的电阻为RX=(U2-U1)r1/U1

试题详情

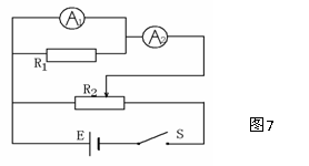
2、安安法测电阻

若电流表内阻已知,则可当作电流表、电压表以及定值电阻来使用。

(1)如图5甲所示,当两电表所能测得的最大接近时,如果一直A1的内阻R1,则测得A2的内阻R2=I1R1/I2.

 

(2)如图6乙所示所示,当两电表的满偏电压UA2>>UA1时,A1串联一定值电阻R0后,同样可测得A2的内阻R2=I1(R1+R0)/I2.

 

[例4]用以下器材测量一待测电阻的阻值,器材(代号)与规格如下:

电流表A1(量程300mA,内阻r1为5Ω);

标准电流表A2(量程300mA,内阻r2约为5Ω);

待测电阻R1(阻值约为100Ω);

滑动变阻器R2(最大阻值10Ω)

电源E(电动势约为10V,内阻r约为1Ω);

单刀单掷开关S,导线若干.

(1)要求方法简捷,并能测多组数据,画出实验电路图原理图,并表明每个器材的代号.

(2)实验中,需要直接测量的物理量是________,用测的量表示待测电阻R1的阻值的计算公式是R1=__________.

[答案](1)实验电路如图7所示

(2)两电流表A1、A2的读数为I1、I2,待测电

阻R1阻值的计算公式是R=I1 r /(I2-I1).

试题详情

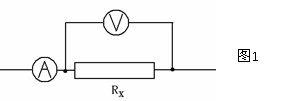
1、伏安法测电阻

(1)原理:部分电路欧姆定律

(2)电流表外接法,如图1所示

,测量值偏小。

②系统误差原因:伏特表V分流

③适用于测量小阻值电阻.因为RX越小,V分流越小,误差越小

(3)电流表内接法,如图2所示.

,测量值偏大。

②系统误差原因:安培表A分压

③适用于测大阻值电阻,因为RX越大,A分压越小,误差越小

(4)内、外接法的选用方法

①在知道Rx,RV,RA的大约值时,可用估算法.

时,选外接法

时,选内接法

②在不知道Rx,RV,RA大约值时,可用试触法,如图3所示.

 

触头分别接触a、b:

如V变化大,说明A分压大,应选外接法;如A变化大,说明V分流大,应选内接法.

[例3](1)某同学欲测一电阻Rx (阻值约300Ω)的阻值,可供选择的仪器有:

电流表A1:量程10mA;  电流表A2:量程0.6A;

电压表V1:量程3V;  电压表V2:量程15V;

电源电动势为4.5V.

该同学先按图4接好电路,闭合S1后把开关S2拨至a时发现两电表指针偏转的角度都在满偏的4/5处;再把开关S2拨至b时发现.其中一个电表的指针偏角几乎不变,另一个电表指针偏转到满偏3/4处,则该同学在实验中所选电压表的量程为______,所选电流表的量程为______Rx的测量值为________.

(2)如果已知上述电压表的内阻RV和电流表的内阻RA,对S2分别拨至a和b两组测量电路(电压表和电流表测量值分别用U1,U2,I1,I2表示),则计算电阻RX的表达式分别为________、_________(用测量值和给出的电表内阻表示).

 [解析]电路的最大电流Im=E/Rx=15mA, Rx上最大电压不超过4.5V,则电压表选用3V量程,而电流表选用10mA量程, S2由a拨至b时V示数会增大一些,A示数减小一些,由题干知:V示数几乎不变,而A指针偏转至满偏3/4处,则A分压小,选内接法误差小, Rx测量值为:

[答案](1)3V 10mA 320Ω

(2) S2拨至a时,

S2拨至b时,

试题详情

3、下列情况可选用限流式接法

(1)测量时电路电流或电压没有要求从零开始连续调节,只是小范围内测量,且RL与R0接近或RL略小于R0,采用限流式接法.

(2)电源的放电电流或滑动变阻器的额定电流太小,不能满足分压式接法的要求时,采用限流式接法.

(3)没有很高的要求,仅从安全性和精确性角度分析两者均可采用时,可考虑安装简便和节能因素采用限流式接法.

下面举例说明:例一电阻额定功率为0.01 W,阻值不详.用欧姆表粗测其阻值约为40 kΩ.现有下列仪表元件,试设计适当的电路,选择合适的元件,较精确地测定其阻值. ①电流表,量程0-300 μA,内阻150 Ω; ②电流表,量程0-1000 μA,内阻45 Ω; ③电压表,量程0-3 V,内阻6 kΩ; ④电压表,量程0-15 V,内阻30 kΩ; ⑤电压表,量程0-50 V,内阻100 kΩ; ⑥干电池两节,每节电动势为1.5 V; ⑦直流稳压电源,输出电压6 V,额定电流3 A; ⑧直流电源,输出电压24 V,额定电流0.5 A; ⑨直流电源,输出电压100 V,额定电流0.1 A; ⑩滑动变阻器,0-50 Ω,3 W; 11滑动变阻器,0-2 kΩ,1 W; 12电键一只,连接导线足量.    分析:由于现有器材中有电流表和电压表,故初步确定用伏安法测定此电阻的阻值.又因待测电阻为一大电阻,其估计阻值比现有电压表的内阻大或相近,故应该采用电流表内接法.由于现有滑动变阻器最大阻值比待测电阻小得多,因此,若用滑动变阻器调节待测电阻的电流和电压,只能采用分压接法,如图(否则变阻器不能实现灵敏调节).为了确定各仪表、元件的量程和规格,首先对待测电阻的额定电压和电流作出估算:最大电流为Im=500μA;最大电压Um=20 V.由于实验中的电流和电压可以小于而不能超过待测电阻的额定电流和额定电压,现有两个电流表内阻相近,由内阻所引起的系统误差相近,而量程0-1000 μA接入电路时,只能在指针半偏转以下读数,引起的偶然误差较大,故选用量程为0-300 μΑ的电流表.这样选用电流表后,待测电阻上的最大实际电压约为3×10-4×40×10-3 V=12 V,故应选用量程为15 V的电压表,由于在图中所示的电路中,要实现变阻器在较大范围内灵敏调节,电源电压应比待测电阻的最大实际电压高,故电源应选输出电压为24 V一种(其额定电流也远大于电路中的最大实际电流,故可用).    关于变阻器的选择,由于采用分压接法,全部电源电压加在变阻器上.若是把0-50 Ω的变阻器接入电路,其上的最小电流(对应于待测电路断开)约为24/50 A=0.5 A,最小功率约为0.25×50 W=12.5 W,远大于其额定功率;而0-2 kΩ的变阻器接入电路,其最大电流(对应于滑动键靠近图中变阻器A端)约为并联电路总电流0.0136 A,小于其额定电流0.2024 A.故应选0-2 kΩ的变阻器。

试题详情

2、下列三种情况必须选用分压式接法

(1)要求回路中某部分电路电流或电压实现从零开始可连续调节时(如:测定导体的伏安特性、校对改装后的电表等电路),即大范围内测量时,必须采用分压接法.

(2)当用电器的电阻RL远大于滑动变阻器的最大值R0,且实验要求的电压变化范围较大(或要求测量多组数据)时,必须采用分压接法。

(3)若采用限流接法,电路中实际电压(或电流)的最小值仍超过RL的额定值时,只能采用分压接法.

试题详情


同步练习册答案