题目列表(包括答案和解析)

 0  30995  31003  31009  31013  31019  31021  31025  31031  31033  31039  31045  31049  31051  31055  31061  31063  31069  31073  31075  31079  31081  31085  31087  31089  31090  31091  31093  31094  31095  31097  31099  31103  31105  31109  31111  31115  31121  31123  31129  31133  31135  31139  31145  31151  31153  31159  31163  31165  31171  31175  31181  31189  447348 

5.可以证明次氯酸是弱酸的是                (   )

    A.次氯酸可以与碱反应   B.次氯酸具有漂白性

    C.漂白粉因在空气中久置而失效   D.次氯酸见光分解

试题详情

4.向100mLNaOH溶液中通入标况下的CO21.12L后,将溶液小心蒸干后得到不含结晶水的固体5.08g,则下列说法中正确的是           (   )

A.原NaOH溶液的浓度是1.00mol/L,所得固体是Na2CO3;

B.原NaOH溶液的浓度是0.500mol/L,所得固体是Na2CO3和NaHCO3;

C.原NaOH溶液的浓度是1.00mol/L,所得固体是Na2CO3和NaOH;

D.原NaOH溶液的浓度是0.900mol/L,所得固体是Na2CO3和NaHCO3

试题详情

3.下列物质的存放方法正确的是                 (   )

    A.固体碘放在棕色细口瓶中

    B.盛放液溴的试剂瓶中常加入一些水

    C.金属钠保存在四氯化碳中

    D.新制的氯水置于无色的细口瓶中

试题详情

2.下列说法正确的是                       (   )

    A.欲除去CO2中混有的HCl气体,可通过足量的饱和NaHCO3溶液

    B.欲除去O2中混有的N2气体,可通过足量灼烧的CuO

    C.欲除去HCl中混有的Cl2气体,可通过足量的AgNO3溶液

    D.欲除去CO中混有的CO2气体,可通过足量Na2O2固体

试题详情

1.某元素单质跟浓硝酸反应,参加反应的单质与硝酸的物质的量之比为1∶4,浓硝酸被还原为NO2  ,则该元素在反应产物中显示的化合价可能是          (   )

    A.+1        B. +2       C. +3         D.+5

试题详情

22.(13分)下图表示有关物质(均由短周期元素形成)之间的转化关系,其中A为常见的金属单质,B为非金属单质(一般是黑色粉末),C是常见的无色无味液体,D是淡黄色的固体化合物(反应条件图中已省略)。

(1)A、D、F所代表物质的化学式分别为        

(2)反应①中A恰好完全反应,C过量,写出该反应过程的所有化学方程式        

                   。

(3)反应②中,若参加反应的B与F 的物质的量之比为3∶2,则生成的G与H物质的量之比为    

(4)反应④的离子方程式是                      。

(5)写出溶液乙与浓的氯化镁溶液混合时所发生反应的离子方程式       

           。

高二化学上综合练习(二)

一单选题(本题共10小题,每题只有一个选项符合题意,每小题2分,共20分)

试题详情

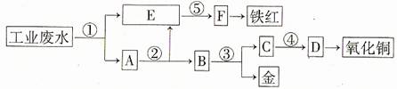
21.(10分)某厂的酸性工业废水中含有一定量的Fe3+、Cu2+、Au3+等离子。有人设计了图中的工艺流程,利用常用的强酸、强碱和工业生产中的废铁屑,从废水中回收金,并生产一定量的铁红和氧化铜。

 

填写下面空白:

(1)图中标号处需加入的相应物质的名称分别是①   、②   、  ③   、④   

(2)写出上述流程中与Au3+有关的离子方程式       

(3)写出③处发生反应的化学方程式        

(4)写出铁红与足量HI溶液反应的离子方程式           

试题详情

20.(10分)明矾在常温下是一种无色透明的晶体,它是医学上的常用药物,可用于治疗高血脂、溃疡等病症。明矾在其它领域也有着广泛应用。

  (1)明矾的化学式是        

  (2)明矾可用作净水剂,用一个离子方程式表示其原理           

  (3)泡沫灭火器内所装的溶液可以选择明矾溶液和NaHCO3溶液,写出这两种溶液混合时所发生反应的离子方程式               。

  (4)向明矾溶液中逐滴滴加Ba(OH)2溶液至产生沉淀的质量达到最大值,用一个离子方程式表示该过程发生的反应                 。

  (5)向 50 mL 1 mol/L明矾溶液中加入一定体积1.5 mol/L NaOH溶液,充分反应后产生 1.56 g沉淀,则加入NaOH溶液的体积可能为       mL。

试题详情

19.(11分)硫酸被人们誉为“化学工业之母”,在国民生产中发挥着重要作用,硫酸的产量是衡量一个国家化学工业水平的标志。工业上生产硫酸包括三步:

(1)第一步,在沸腾炉中煅烧黄铁矿,反应如下:4FeS2+11O2 8SO2+2Fe2O3,该反应的氧化产物是     ,当生成8 mol SO2时转移电子的物质的量为   

(2)第二步,在接触室中发生如下反应:2SO2+O2 2SO3。某科技小组的同学在一个恒温恒容的容器中模拟该反应,他们分两次进行实验,第一次向容器中加入2 mol SO2、1 mol O2,反应达平衡后测得SO2的转化率为α1,第二次向容器中加入3 mol SO2、1.5 mol O2, 反应达平衡后测得SO2的转化率为α2,则α1   α2(填“大于”、“等于”或“小于”)。

(3)第三步,在吸收塔中将SO3转化成硫酸。硫酸是化学实验中的常用试剂:

①有Na、Mg、Al、Cu四种金属,若两两混合后取混合物14 g与足量稀硫酸反应,产生标准状况下H2 5.6 L,则此混和物的组合方式最多有    种。

②可用稀硫酸与FeS反应来制H2S,H2S的水溶液叫做氢硫酸,它是一种二元弱酸。现将0.1 mol/L H2S溶液与0.2 mol/L NaOH溶液等体积混合,所得混合液中的关系正确的是      。

a+)+c(H+)=c(HS-)+c(OH-)+2c(S2-)    B. c(H2S) +c(HS-) +c(S2-) =0.1 mol•L-1

  C.2 c(H2S) +c(HS-) + c(H+) = c(OH-)     a+)=2 c(H2S) +2c(HS-) +2c(S2-)

试题详情

18.将0.02 mol/L的HCN溶液与0.02 mol/L的NaCN溶液等体积混合,所得混合溶液中c (CN-)<c (Na+),则下列关系式正确的是

a+)>c (CN-)>c (HCN) >c (H+)>c (OH-) 

a+)>c (HCN)>c (CN-)>c (OH-)>c (H+)

C.c (HCN) >c (Na+)>c (CN-)>c (OH-)>c (H+)        

D.c (HCN) >c (Na+)>c (CN-)>c (H+)>c (OH-)

第Ⅱ部分(非选择题,共56分)

试题详情


同步练习册答案