题目列表(包括答案和解析)

 0  66937  66945  66951  66955  66961  66963  66967  66973  66975  66981  66987  66991  66993  66997  67003  67005  67011  67015  67017  67021  67023  67027  67029  67031  67032  67033  67035  67036  67037  67039  67041  67045  67047  67051  67053  67057  67063  67065  67071  67075  67077  67081  67087  67093  67095  67101  67105  67107  67113  67117  67123  67131  447348 

21、有两种药水,一种浓度为60%,另一种浓度为90%,现要配制浓度为70%的药水300克,问每种各需多少克?

试题详情

20、二元一次方程组的解互为相反数,求m的值.(8)

试题详情

18、             

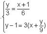
 19

试题详情

17、

试题详情

16、

试题详情

15、甲、乙两人分别从相距s千米的两地同时出发,若同向而行,则t1小时后,快者追上慢者;若相向而行,t2小时后,两人相遇,那么快者速度是慢者速度的(   )

A、 倍     B、 倍   C、 倍     D、

试题详情

14、若a-b=2,a-c=,则(b-c)3-(b-c)+= (   )

A、0    B、   C、2     D、-4

试题详情

13、已知方程组的解是,则2m+n的值为 (   )

  A、1   B、2   C、3    D、0

试题详情

12、用代入消元法解方程组,代入消元,正确的是(   )

 A、由①得y=3x+2,代入②后得3x=11-2(3x+2)

 B、由②得代入②得

C、由①得代入②得

 D、由②得3x=11-2y,代入①得11-2y-y=2。

试题详情

11、若二元一次方程3x-2y=1有正整数解,则x的取值为 (   )

  A、0   B、偶数  C、奇数  D、奇数或偶数

试题详情


同步练习册答案