题目列表(包括答案和解析)

 0  73616  73624  73630  73634  73640  73642  73646  73652  73654  73660  73666  73670  73672  73676  73682  73684  73690  73694  73696  73700  73702  73706  73708  73710  73711  73712  73714  73715  73716  73718  73720  73724  73726  73730  73732  73736  73742  73744  73750  73754  73756  73760  73766  73772  73774  73780  73784  73786  73792  73796  73802  73810  447348 

2.如图2-39所示.在平行四边形ABCD中,△ABE和△BCF都是等边三角形.求证:△DEF是等边三角形.

 

试题详情

1.如图2-38所示.DE⊥AC,BF⊥AC,DE=BF,∠ADB=∠DBC.求证:四边形ABCD是平行四边形.

试题详情

4.如果△ABC的周长为40米(m),以A,B,C三点为圆心,作三个半径为1米的圆轮,带动圆轮转动的皮带长为l,试求l的长度.

试题详情

3.在题1中,如果考虑直线l和平行四边形更一般的关系(如平行四边形变成圆,或某一中心对称图形,垂线AA',BB',CC',DD'只保持平行等),那么又有什么结论,试作出你的猜想和证明.

试题详情

2.在上题中,如果移动直线l,使它与四边形ABCD的位置关系相对变动得更特殊一些(如l过A,或l交AB,BC等),那么,相应地结论会有什么变化?试作出你的猜想和证明.

试题详情

1.如图2-112.已知由平行四边形ABCD各顶点向形外一条直线l作垂线,设垂足分别为A',B',C',D'.求证:

'A+B'B=C'C+D'D.

试题详情

2.特殊化、一般化在解题中的应用

 例1 设x,y,z,w为四个互不相等的实数,并且

 求证:x2y2z2w2=1

 分析与解 我们先考虑一个特例,只取两个不同实数,简化原来命

 (1)求证这个特殊化的辅助问题就容易多了.事实上,因为

 又因为

 到原命题,由

 容易想到变形

 去分母变形为

 ①×②×③×④,并约去(x-y)(y-z)(z-w)(w-x)(利用x,y,z,w互不相等)就得到

x2y2z2w2=1.

 例2 设凸四边形O1O2O3O4的周长为l,以顶点O1,O2,O3,O4为圆心作四个半径为R的圆轮.如果带动四个圆轮转动的皮带长为s,求s的长度(图2-110).

 

 解(1)先解一个特例(图2-111).设只有两个圆轮⊙O1,⊙O2,2│O1O2│=l'.显然,带动两轮转动的皮带长度为

s=l'+2πR.

 (2)再回到原题,我们猜想:

s=l+2πR.

 以下证实这个猜想是正确的.

 为此,设皮带s与各圆轮接触的四个弧为

 由于它们是等圆上的弧,因此,只要证出这四条弧恰好组成一个圆即可.

 事实上,引O1A'3∥O2A3,由于O1A1∥O2A2,所以∠A1O1A'    O1为圆心,以R为半径的圆.因此,四圆弧之长为2πR.又因为O1O2=A1A2,O2O3=A3A4,O3O4=A5A6,O1O4=A7A8,所以

l=A1A2+A3A4+A5A6+A7A8

 所以,所求皮带长为

s=l+2πR.

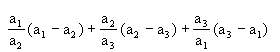
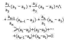
 例3 设a1,a2,…,an都是正数.试证:

 证 欲证①成立,先考虑最简单的情形,设n=3,即证

 把②变形为

 即证

 由于④中左边有(a1-a2),(a2-a3),(a3-a1),其和为零,因此,我们猜想:若④式左边相加,其和不小于(a1-a2),(a2-a3),(a3-a1)之和即可.为此,我们证更简单的事实.

 设a,b是任意正整数,则有

 事实上,由(a-b)2≥0有

a2-ab≥ab-b2

 

 根据⑤,④显然成立,因为

≥(a1-a2)+(a2-a3)+(a3-a1)≥0,

 从而③式成立,②式成立.

 剩下来的工作是把②式推到一般情形①,这是很容易的.因为根据⑤,①式必然成立,因为

练习十九

试题详情

1.特殊化、一般化和类比推广

 命题1 在△ABC中,∠C=90°,CD是斜边上的高(图2-102),则有CD2=AD·BD.

 这是大家所熟知的直角三角形射影定理.

 类比命题1,如果CD是斜边上的中线,将怎样?由此得到命题2.

 命题2 在△ABC中,∠C=90°, CD是斜边上的中线(图2-103),则有CD=AD=BD.

 这便是大家已经学过的直角三角形中的斜边中点定理(在此定理中仍保持CD2=AD·BD).

 再类比,如果CD是∠C的平分线,将怎样?于是得到命题3.

 命题3 在△ABC中,∠C=90°,CD是∠C的平分线(图2-104),则有

 这是一个新命题,证明如下.

 引DE⊥BC于E,DF⊥AC于F.

 因为

 所以

  

 我们把命题1、命题2、命题3一般化,考虑D点是AB上任一点,便产生了以下两个命题.

 命题4 在△ABC中,∠C=90°,D是斜边AB上的任一内分点(图2-105),则有

 证 引DF⊥AC于F,DE⊥BC于E.因为

CD2-BD2=CE2-BE2=(CE-BE)BC,

 而

 所以

 所以

 即

 命题5 在△ABC中,∠C=90°,D是斜边AB上的任一外分点(图2-106),则有

 证 只要令命题4之结论中AD为-AD,则有

  

 我们再把命题4和命题5特殊化,令D点与A点重合(即│AD│=0),那么无论是①式或②式都有

AB2=BC2+AC2.

 这就是我们熟知的勾股定理.

 命题4或命题5与通常形式下的广勾股定理是等效的,因此,它们也可称作广勾股定理.下面用命题4或命题5来证明以下定理.

 定理 在△ABC中,AB=c,BC=a,AC=b,a在c上的射影为n,

 时,取“-”号,∠B为钝角时,取“+”号).

 证 我们仅利用命题4证图2-107中的情况(∠B<90°).

 为此,我们作图2-109,其中∠DBA=90°,CD=x,CE⊥DB于E,并设CE=n.由命题4,立得

 

 得

 

 

 所以

b2=a2+c2-2cn.

 同理可证图2-108(∠B>90°)的相应结论.

试题详情

2.按如图所示的两种方式分割正方形,你能分别得到什么结论?

x
 
y
 
a
 
b
 
                   

a
 
 

 (1)              (2)

试题详情

1. 利用因式分解计算:

试题详情


同步练习册答案