题目列表(包括答案和解析)

 0  73623  73631  73637  73641  73647  73649  73653  73659  73661  73667  73673  73677  73679  73683  73689  73691  73697  73701  73703  73707  73709  73713  73715  73717  73718  73719  73721  73722  73723  73725  73727  73731  73733  73737  73739  73743  73749  73751  73757  73761  73763  73767  73773  73779  73781  73787  73791  73793  73799  73803  73809  73817  447348 

6、如图,AD是△ABC中BC边上的中线,BF⊥AF,CE⊥AD求证:BF=CE

试题详情

5.已知:△ABC中,∠A是锐角,AB=AC,AC、AB边上的高分别为BE、CF.

求证:BE=CF.(画出图形并证明)

试题详情

4.已知: D是△ABC的边AB上一点,DE交AC于点E,DE=FE,FC∥AB.  求证:AE=CE.

试题详情

3、如右图,AB=AD ,∠BAD=∠CAE,AC=AE ,求证:AB=AD

试题详情

2.已知:点 A、C、B、D在同一条直线,AC=BD,AM∥CN,BM∥DN.

求证: AM=CN  ,MB=ND。

 

试题详情

1、如图, AB⊥BC,AD⊥DC,且AD=AB ,  求证:BC=DC   

 

试题详情

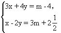
5.若方程组

的解满足x+y=0,试求m的值.

试题详情

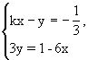
4.k为何值时,方程组

有唯一一组解;无解;无穷多解?

试题详情

3.将式子3x2+2x-5写成a(x+1)2+b(x+1)+c的形式,试求

试题详情

2.若x1,x2,x3,x4,x5满足方程组

   

试确定3x4+2x5的值.

试题详情


同步练习册答案