题目列表(包括答案和解析)

 0  79800  79808  79814  79818  79824  79826  79830  79836  79838  79844  79850  79854  79856  79860  79866  79868  79874  79878  79880  79884  79886  79890  79892  79894  79895  79896  79898  79899  79900  79902  79904  79908  79910  79914  79916  79920  79926  79928  79934  79938  79940  79944  79950  79956  79958  79964  79968  79970  79976  79980  79986  79994  447348 

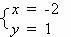
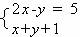
2.  方程组     的解是  (   )

     A.     B.     C.      D 

试题详情

1.下列四组数能作为直角三角形的三边长的是(   )

    A.  1  2.  3.  B.  2.  3.  4  C.  3.  4.  5  D.  4.  5.  6

试题详情

26、某办公用品销售商店推出两种优惠方法:①购1个书包,赠送1支水性笔;②购书包和水性笔一律按9折优惠.书包每个定价20元,水性笔每支定价5元.小丽和同学需买4个书包,水性笔若干支(不少于4支).

(1)分别写出两种优惠方法购买费用y(元)与所买水性笔支数x(支)之间的函数关系式;

(2)对的取值情况进行分析,说明按哪种优惠方法购买比较便宜;

(3)小丽和同学需买这种书包4个和水性笔12支,请你设计怎样购买最经济.

试题详情

25、(1)如图1,在正方形ABCD中,M是BC边(不含端点B、C)上任意一点,P是BC延长线上一点,N是∠DCP的平分线上一点.若∠AMN=90°,求证:AM=MN.

下面给出一种证明的思路,你可以按这一思路证明,也可以选择另外的方法证明.

证明:在边AB上截取AE=MC,连ME.

正方形ABCD中,∠B=∠BCD=90°,AB=BC.

∴ ∠NMC=180°-∠AMN­-∠AMB=180°-∠B-∠AMB=∠MAB=∠MAE.本试卷锡    (下面请你完成余下的证明过程)

(2)若将(1)中的“正方形ABCD”改为“正三角形ABC”(如图2),N是∠ACP的平分线上一点,则当∠AMN=60°时,结论AM=MN是否还成立?请说明理由.

本试卷由无锡市天一实验学校金杨建录制 QQ:623300747.转载请注明!

试题详情

24、A,B两城相距600千米,甲、乙两车同时从A城出发驶向B城,甲车到达B城后立即返回.如图是它们离A城的距离y(千米)与行驶时间 x(小时)之间的函数图象.

(1)求甲车行驶过程中yx之间的函数解析式,并写出自变量x的取值范围;

(2)当它们行驶7了小时时,两车相遇,求乙车速度.

试题详情

23、如图,已知:点B、F、C、E在一条直线上,FB=CE,AC=DF.

能否由上面的已知条件证明AB∥ED?如果能,请给出证明;如果不能,请从下列三个条件中选择一个合适的条件,添加到已知条件中,使AB∥ED成立,并给出证明.

供选择的三个条件(请从其中选择一个):

① ∠A=∠D;

② BC=EF;

③ AB=ED.

试题详情

22、已知,成正比,成正比,当时,,当,,求y与x的函数解析式。

试题详情

21、(1)如图,画出△关于轴对称的图形。

(2)若点在△上,

写出点关于轴对称的对应点的坐标。

试题详情

20、若,求代数式的值。

试题详情

19、如图,AB∥CD

(1)用直尺和圆规作的平分线CP,CP交AB于点E(保留作图痕迹,不写作法)

 (2)在(1)中作出的线段CE上取一点F,连结AF。要使△ACF≌△AEF,还需要添加一个什么条件?请你写出这个条件(只要给出一种情况即可;图中不再增加字母和线段;不要求证明)。

 

试题详情


同步练习册答案