题目列表(包括答案和解析)

 0  79802  79810  79816  79820  79826  79828  79832  79838  79840  79846  79852  79856  79858  79862  79868  79870  79876  79880  79882  79886  79888  79892  79894  79896  79897  79898  79900  79901  79902  79904  79906  79910  79912  79916  79918  79922  79928  79930  79936  79940  79942  79946  79952  79958  79960  79966  79970  79972  79978  79982  79988  79996  447348 

23.作出函数y=3-2x 的图象,  根据图象回答下列问题

(1 )  y值随x 的增大而_______________________.

(2 )  图象与x轴的交点坐标是_____,与y轴的交点的坐标是________。

( 3 )当x__________________时,  y< 0.

试题详情

22.画出△ABC绕点O按逆时针方向

旋转90°后的△A1B1C1。

试题详情

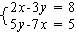
21.解方程组:   


 
 

试题详情

20.一个菱形的周长是20cm, 一条对角线的长是8cm ,则它的面积是_________________

试题详情

19.过点 (-1 ,2  ),且平行于直线y=-2x+3的直线解析式是__________________

试题详情

18. 一个正多边形的一个外角是60°,则这个正多边形的内角和是__________

试题详情

17. 正比例函数y=kx 的图象过点A( -2,  4 ),  则y随x增大而__________

试题详情

16.拖拉机耕地时,油箱中有油40 kg,每小时耗油5  kg,油箱中的剩油

量y与拖拉机工作的时间t的函数关系式是                            

试题详情

15.小明骑自行车的速度是15km/h,步行的速度是5km/h,

  若小明先骑自行车2h,然后步行了3h,则他的平均速度为____________km/h.

试题详情

13.  写一个二元一次方程组,它的解为    且未知数系数不为1, 则符合要求的方程为__________________

  14.如图( 5), 小正方形的边长为1,则ΔABC DE 

周长为___________

试题详情


同步练习册答案