题目列表(包括答案和解析)

 0  82269  82277  82283  82287  82293  82295  82299  82305  82307  82313  82319  82323  82325  82329  82335  82337  82343  82347  82349  82353  82355  82359  82361  82363  82364  82365  82367  82368  82369  82371  82373  82377  82379  82383  82385  82389  82395  82397  82403  82407  82409  82413  82419  82425  82427  82433  82437  82439  82445  82449  82455  82463  447348 

21、画出下面立体图形的三视图. 

  (1)主视图:    (2)左视图:    (3)俯视图:

                              (图11)

试题详情

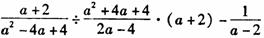
20、化简求值:请你先化简,再选取一个使原式有意义而你又喜欢的数代人求值.

    

试题详情

19、

试题详情

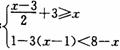
18、解不等式组: 

试题详情

17、 

试题详情

16、若⊙O所在平面内一点P到⊙O上的点的最大距离为a,最小距离为b

(a>b),则此圆的半径为      

试题详情

15、图10所示,在三角形纸片ABC中,∠C=90°,∠A=30°,AC=3,折叠纸片使点A与点B重合,折痕与AB、AC分别交于点 D和 E,则折痕DE的长为     

试题详情

14、已知关于x的方程有两个不相等的实数根.则k取值范围为        .

试题详情

13、如图9,为了测量某建筑物AB的高度,在平地上C处测得建筑物顶端A的仰角为30°,沿CB方向前进了12m到达D处,在D处测得建筑物顶端A的仰角为45°,则建筑物AB的高度等于     .

(图9)     (图10)

试题详情

12、市政府为了解决市民看病难的问题,决定下调药品的价格.某种药品经过两

次连续降价后,由每盒200元下调至128元,则这种药品平均每次降价的百分率

      .

试题详情


同步练习册答案