0  124522  124530  124536  124540  124546  124548  124552  124558  124560  124566  124572  124576  124578  124582  124588  124590  124596  124600  124602  124606  124608  124612  124614  124616  124617  124618  124620  124621  124622  124624  124626  124630  124632  124636  124638  124642  124648  124650  124656  124660  124662  124666  124672  124678  124680  124686  124690  124692  124698  124702  124708  124716  447090 

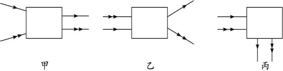
22、根据图中入射光和出射光的情况在方框内填上一个适当的光学元件。

试题详情

21、如图所示,可以表示同一种运动规律的图象是: (     )

A.(1)(2);        B.(2)(3);        C.(1)(4);        D.(2)(4)。

试题详情

20、我们经常提到的像有:①小孔成像;②平面镜成像;③放大镜成像;④电影机放映在屏幕上的像;⑤汽车观后镜中的像。下列判断正确的是:(     )

A.属于实像的是①②③ ;                        B.属于虚像的是②③④;

C.由于反射而成的像是②⑤;                 D.由于折射而成的像是①③④.

试题详情

19、以下有关光学知识的说法中错误的是: (     )

A.猴子看到的水中的月亮是光的反射形成的;

B.人站在平面镜前,人离平面镜越远,人在镜中所成的像越小;

C.凸透镜成虚像一定是放大的,凸透镜成实像可能是放大的,也可是缩小的;

D.能在教室的不同位置看到黑板上的字是由于光在黑板表面发生了漫反射.

试题详情

18、为了防盗,在门上装上一个“猫眼”,使屋内的人能看清屋外的人是一个正立缩小的像,屋外面的人却看不清屋内的人,则“猫眼”应该是:(     )

A.凸镜            B.凹镜                 C.凹透镜            D.凸透镜

试题详情

17、有一物体在凸透镜5倍焦距以外的地方,沿着主光轴逐渐移到1.5倍焦距处,像的变化是:( )

A.从小变大                            B.从大变小

C.不变                                    D.从小变大,又从大变小

试题详情

16、要使光线发生如图所示的偏折,则方框内放置的光学元件:(     )

A.一定是平面镜;                        B.一定是凸透镜;

C.一定是凹透镜;                         D.平面镜、凸透镜、凹透镜均可.

试题详情

15、明代诗人曾写下这样一首诗:“空手把锄头,步行骑水牛,人在桥上走,桥流水不流”其中“桥流水不流”之句应理解成其选择的参照物是: (     )

A.水;               B.桥;                 C.人  ;                D.地面.

试题详情

13、在电视节目正式播出以前,荧光屏上有测试图像,用放大镜分别支观察白色、黄色、黑色和其它 颜色的色条,可以看到: (     )

A.屏幕上由红、黄、蓝三种颜色组成;      B.白色色条上红黄蓝三种颜色都求发;

C.黑色色条上红蓝绿三种子颜色都发;          D.黄色色条是由红绿两种颜色组成。

试题详情


同步练习册答案