0  139597  139605  139611  139615  139621  139623  139627  139633  139635  139641  139647  139651  139653  139657  139663  139665  139671  139675  139677  139681  139683  139687  139689  139691  139692  139693  139695  139696  139697  139699  139701  139705  139707  139711  139713  139717  139723  139725  139731  139735  139737  139741  139747  139753  139755  139761  139765  139767  139773  139777  139783  139791  447090 

36.(6分)根据下图回答问题。

(l)写出标有序号仪器的名称:①___________,②___________。

(2)若用高锰酸钾制取氧气,应选用的发生装置是(填装置代号)___________。实验的主要操作步骤有①检验装置的气密性、②加入药品、③加热、④收集气体、⑤_________、⑥停止加热;若选用另一装置制取氧气,反应的化学方程式为___________。

(3)下图是收集到的两瓶氧气,若进行铁丝在氧气燃烧的实验,应选用的一瓶是(填装置代号)___________。

试题详情

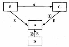
35.(5分)A、B、C、D、E是初中化学常见的物质,B与水反应放出大量热;D是一种红褐色固体;人体的胃液中含有E,可帮助消化。它们之间发生如下反应。

(l)B的化学式为_____________________。

(2)A、B、C、D、E五种物质中有三种物质属于同一类物质,它们是(填化学式)_______________________。

(3)反应①的化学方程式为_____________;反应②的化学方程式为______________;

反应②的产物之一能够与A、B、C、D、E五种物质中的一种发生复分解反应,该反应的化学方程式为____________。

试题详情

34.(5分)金属单质及其合金是应用最广泛和最重要的工程材料。

(1)金属物理性质的差异决定了金属的用途不同。例如,电脑的印刷电路大多采用银做导体,利用了银的________性;使用铜质火锅,利用了铜的________性。

(2)铁是应用最广泛的金属,炼铁原理的化学方程式为_____________。

实际应用中使用的生铁和___________是含碳量不同的铁的两种合金。

(3)金属的应用与它们的化学性质也有密切关系。小刚探究铝、铁、铜的金属活动性顺序,将铝片和铁片分别插入硫酸铜溶液中,一段时间后取出,铁片上有红色金属析出,铝片上没有明显变化。出现上述现象的原因是____________。

试题详情

33.(5分)下表是每100g小麦、大米、玉米和红薯中主要营养物质的含量。

 
小麦
大米
玉米
红薯
蛋白质(g)
9.4
7.7
4
1.1
糖类(g)
75
76.8
40.2
23.1
油脂(g)
1.4
0.6
2.3
0.2
维生素A()
11
0
63
125
维生素C(mg)
0
8
10
26
钙(mg)
25
11
1
23
铁(mg)
0.6
1.1
1.5
0.5
锌(mg)
0.2
1.45
0.9
0.15

(l)食物的成分主要有六大类营养素,上表中没有涉及的营养素是____________。

(2)中国人的饮食以小麦和大米为主,根据上表分析,应适当补充富含油脂、___________和无机盐的食物。

(3)根据上表推荐一种适宜糖尿病人的食物是_______________,但需要适当补充富含____________、油脂和无机盐的食物。

(4)下列有关营养素的说法中,不正确的是____________。

①缺乏维生素A,会引起夜盲症     ②缺乏维生素C,会引起坏血病

③缺乏铁元素,会引起贫血        ④维生素和无机盐的摄入,应该多多益善

试题详情

32.(5分)水是生命之源,我们应该了解水、爱护水资源。

(l)水是由____________构成的,该粒子是由____________和氧原子构成的。

(2)①水是重要的溶剂。将50mL酒精和50mL水混合,得到的酒精溶液体积小于100mL,这说明____________。

②植物油和水形成的混合物中加入洗涤剂,植物油分散成无数细小的液滴,而不聚集成大的油珠,这种现象称为____________。

(3)水中氮、磷含量过高,会引起赤潮。下列做法可能引发赤潮的是____________。

①将人、畜粪便随意排放到水中

②大量使用含Na5P3O10的洗衣粉

③过量使用尿素

试题详情

31.(6分)①干冰、②硝酸钾、③氧气、④盐酸、⑤氢氧化钠、⑥水等物质中,(填序号)

(1)属于单质的是____________。       (2)属于碱的是____________。

(3)属于氧化物的是____________。  (4)与铁反应生成铁锈的是____________。

(5)用于潜水、医疗救援的是_________。

(6)用于人工降雨、做制冷剂的是__________。

试题详情

30.质量分数为0.2%-1%的过氧乙酸(化学式为)用于环境和用具喷洒浸泡消毒。现有市售质量分数为20%的过氧乙酸,要配制1%的过氧乙酸10kg,需要市售过氧乙酸的质量为

A.50g           B.100g         C.200g        D.500g

第II卷(非选择题,共50分)

试题详情

29.酸和碱作用生成盐和水的反应,叫做中和反应。下列做法中,利用中和反应原理的是

A.实验室用浓硫酸做干燥剂

B.用碳酸氢钠和柠檬酸等原料自制汽水

C.用熟石灰处理硫酸厂废水中含有的硫酸

D.用熟石灰与硫酸铜溶液来配制农药波尔多液

试题详情

28.区别下列各组物质,选用的方法或试剂不正确的是

 
物质
选用的方法或试剂
A
空气、氧气和氮气
燃着的木条
B
氯化钠溶液和稀盐酸
酚酞溶液
C
合成纤维制品和羊毛制品
抽丝灼烧
D
双氧水和水
二氧化锰

试题详情

27.根据下图判断,将20℃时的硝酸钾饱和溶液升温至50℃(不考虑水分的蒸发),一定发生改变的是

A.溶质的质量

B.溶液的质量

C.硝酸钾的溶解度

D.溶质的质量分数

试题详情


同步练习册答案