0  172400  172408  172414  172418  172424  172426  172430  172436  172438  172444  172450  172454  172456  172460  172466  172468  172474  172478  172480  172484  172486  172490  172492  172494  172495  172496  172498  172499  172500  172502  172504  172508  172510  172514  172516  172520  172526  172528  172534  172538  172540  172544  172550  172556  172558  172564  172568  172570  172576  172580  172586  172594  447090 

2.用pH均为2的盐酸和醋酸溶液,分别中和等体积、等物质的量浓度的氢氧化钠溶液,当氢氧化钠恰好被完全中和时,消耗盐酸和醋酸溶液的体积分别为,则的关系正确的是

   A.>   B.<2    C.=   D.2

试题详情

1.将纯水加热至较高温度,下列叙述正确的是

   A.水的离子积变大、pH变小、呈酸性

   B.水的离子积不变、pH不变、呈中性

   C.水的离子积交小、pH交大、呈碱性

   D.水的离子积变大、pH变小、呈中性

试题详情

25.(10分)

钢铁工业是国家工业的基础。2006年我国粗钢产量突破4亿吨,居世界首位。某中学社会实践活动小组利用假期对当地钢铁厂进行了调研,对从矿石开始到钢铁产出的工艺流程有了全面的感性认识。请您对社会实践活动小组感兴趣的问题进行计算:

(1)将6.62g铁矿石样品投入适量的盐酸中(充分反应),过滤,然后在滤液中加过量的NaOH溶液,充分反应后,过滤、洗涤、灼烧得4.80g Fe2O3。现以该铁矿石为原料炼铁,若生产过程中铁元素损失4%,计算每生产1.00t生铁(含铁96%),至少需要这种铁矿石多少吨?(保留两位小数)

(2)取某钢样粉末28.12g(假设只含Fe和C)在氧气流中充分反应,得到CO2气体224mL(标准状况)。

①计算此钢样粉末中铁和碳的物质的量之比。

②再取三份不同质量的钢样粉末分别加到100mL相同浓度的H2SO4溶液中,充分反应后,测得的实验数据如下表所示:

实验序号



加入钢样粉末的质量/g
2.812
5.624
8.436
生成气体的体积/L(标准状况)
1.120
2.240
2.800

计算硫酸溶液的物质的量浓度。

③若在实验Ⅱ中继续加入m g钢样粉末,计算反应结束后剩余的固体质量为多少?(用含m的代数式表示)

试题详情

24.(8分)

在隔绝空气的条件下,某同学将一块部分被氧化的钠块用一张已除去氧化膜、并用针刺一些小孔的铝箔包好,然后放入盛满水且倒置于水槽中的容器内。待钠块反应完全后,在容器中仅收集到1.12L氢气(标准状况),此时测得铝箔质量比反应前减少了0.27g,水槽和容器内溶液的总体积为2.0L,溶液中NaOH的浓度为0.050 mol·L-1(忽略溶液中离子的水解和溶解的氢气的量)。

(1)写出该实验中发生反应的化学方程式。

(2)试通过计算确定该钠块中钠元素的质量分数。

试题详情

23.(10分)

物质A()是一种不饱和烃,它广泛存在于自然界中,也是重要的有机合成中间体之一。某化学实验小组从A经反应①到⑤完成了环醚F的合成工作:

该小组经过上述反应,最终除得到()外,还得到它的同分异构体,其中B、C、D、E、F分别代表一种或多种物质。

请完成:

(1)写出由A制备环醚,的合成路线中C的结构简式:___▲___

(2)①写出B的一种结构简式:___▲___;②写出由该B出发经过上述反应得到的的同分异构体的结构简式:___▲___

(3)该小组完成由A到F的合成工作中,最多可得到____中环醚化合物。

试题详情

22.(8分)

肉桂醛是一种食用香精,它广泛用于牙膏、洗涤剂、糖果以及调味品中。工业上可通过下列反应制备:

(1)请推测B侧链上可能发生反应的类型___▲___。(任填两种)

(2)请写出两分子乙醛在上述条件下反应的化学方程式:___▲___

(3)请写出同时满足括号内条件的B的所有同分异构体的结构简式:___▲___。( ①分子中不含羰基和羟基;②是苯的对二取代物;③除苯环外,不含其他环状结构。)

试题详情

21.(10分)

工业上以硫铁矿为原料制硫酸所产生的尾气除了含有外,还含有、微量的和酸雾。为了保护环境,同时提高硫酸工业的综合经济效益,应尽可能将尾气中的转化为有用的副产品。请按要求回答下列问题:

(1)将尾气通人氨水中,能发生多个反应,写出其中可能发生的两个氧化还原反应的化学方程式:___▲___、___▲___

(2)在尾气与氨水反应所得到的高浓度溶液中,按一定比例加人氨水或碳酸氢铵,此时溶液的温度会自行降低,并析出晶体。①导致溶液温度降低的原因可能是___▲___ ;②析出的晶体可用于造纸工业,也可用于照相用显影液的生产。已知该结晶水合物的相对分子质量为134,则其化学式为___▲___;③生产中往往需要向溶液中加入适量的对苯二酚或对苯二胺等物质,其目的是___▲___

(3)能用于测定硫酸尾气中:含量的是___▲___。(填字母)

A.Na0H溶液、酚酞试液         B.KMn、溶液、稀

C.碘水、淀粉溶液           D.氨水、酚酞试液

试题详情

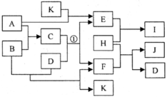
20.(10分)

右图中各物质均由常见元素(原子序数≤20)组成。已知A、B、K为单质,且在常温下A和K为气体,B为固体。D为常见的无色液体。I是一种常用的化肥,在其水溶液中滴加AgNO3,溶液有不溶于稀HNO3的白色沉淀产生。J是一种实验室常用的干燥剂。它们的相互转化关系如右图所示(图中反应条件未列出)。

请回答下列问题:

(1)I的化学式为___▲___ ;  J的电子式为___▲___

(2)反应①的化学方程式为___▲___

(3)F的水溶液与氯气反应的离子方程式为 ___▲___

试题详情

19.(8分)

通常情况下,微粒A和B为分子,C和E为阳离子,D为阴离子,它们都含有10个电子;B溶于A后所得的物质可电离出C和D;A、B、E三种微粒反应后可得C和一种白色沉淀。请回答:

(1)用化学符号表示下列4种微粒:

   A:  ▲  ;  B:  ▲  ;  C:  ▲  ;  D:  ▲ 

(2)写出A、B、E三种微粒反应的离子方程式:     ▲    

试题详情

18.(12分)

酯是重要的有机合成中间体,广泛应用于溶剂、增塑剂、香料、粘合剂及印刷、纺织等工业。乙酸乙酯的实验室和工业制法常采用如下反应:

请根据要求回答下列问题:

(1)欲提高乙酸的转化率,可采取的措施有:  ▲    ▲  等。

(2)若用右图所示的装置来制备少量的乙酸乙酯,产率往往偏低,其原因可能为:  ▲    ▲  等。

(3)此反应以浓硫酸为催化剂,可能会造成  ▲    ▲  等问题。

(4)目前对该反应的催化剂进行了新的探索,初步表明质子酸离子液体可用作此反应的催化剂,且能重复使用。实验数据如下表所示(乙酸和乙醇以等物质的量混合)。

同一反应时间
同一反应温度
反应温度
/℃
转化率(%)
选择性(%)
反应时间/h
转化率(%)
选择性(%)
40
77.8
100
2
80.2
100
60
92.3
100
3
87.8
100
80
92.6
100
4
92.3
100
120
94.5
98.7
6
93.0
100
﹡选择性100%表示反应生成的产物是乙酸乙酯和水

①根据表中数据,下列  ▲  (填字母)为该反应的最佳条件。

A.120°C,4h     B.80℃,2h      C.60℃,4h      D.40℃,3h

②当反应温度达到120°C时,反应选择性降低的原因可能为  ▲ 

试题详情


同步练习册答案