0  172353  172361  172367  172371  172377  172379  172383  172389  172391  172397  172403  172407  172409  172413  172419  172421  172427  172431  172433  172437  172439  172443  172445  172447  172448  172449  172451  172452  172453  172455  172457  172461  172463  172467  172469  172473  172479  172481  172487  172491  172493  172497  172503  172509  172511  172517  172521  172523  172529  172533  172539  172547  447090 

28.(14分)

     在火箭推进器中装有还原剂肼(N2H4)和强氧化剂H2O2,当它们混合时,即产生大量的氮气和水蒸气,并放出大量的热。已知0.4mol液态肼和足量双氧水反应生成氮气和水蒸气时放出256.64kJ的热量。

  (1)在结构上N2H4和NH3的关系有如H2O2和H2O的关系。N2H4能发生下列反应:

     N2H4+H3O+=N2H5++H2O         N2H4+H2O    N2H5++OH

     N2H5++H2O   N2H62++OH      N2H5++H2O   N2H4+H3O+

     据此可得出的结论是          。

     A.肼水解显酸性         B.肼在水中可电离出H+离子

     C.肼是二元弱碱         D.肼是二元弱酸

  (2)写出肼和双氧水反应的热化学方程式                   。

  (3)已知H2O(1)=H2O(g) △H=+44kJ/mol,则16g液态肼与足量双氧水反应生成氮气和液态水时,放出的热量是             

  (4)上述反应应用于火箭推进器,除释放出大量热量和快速产生大量气体外,还有一个很突出的优点是                      。

  (5)用氨和次氯酸钠按一定的物质的量之比混合可生成肼,写出反应的化学方程式            ,该反应的还原产物是            。

试题详情

15.一定温度下,在2L的密闭容器中,X、Y、Z三种气体的物质的量随时间变化的曲线如下图所示:下列描述正确的是                     (   )

   A.反应开始到10s,用Z表示的反

应速率为 0.158mol/(L·s)

   B.反应开始到10s,X的物质的量

浓度减少了0.79mol/L

   C.反应开始到10s时,Y的转化率为79.0%

   D.反应的化学方程式为:X(g()+Y(g)   Z(g)

第Ⅱ卷(必做120分+选做32分,共152分)

  卷上答题无效。

[必做部分]

试题详情

14.下列描述中,不符合生产实际的是                    (   )

   A.在镀件上电镀锌,用锌作阳极

   B.电解法精炼粗铜,用纯铜作阴极

   C.电解饱和食盐水制烧碱,用涂镍碳钢网作阴极

   D.电解熔融的氧化铝制取金属铝,用铁作阳极

试题详情

13.实验室制备硝酸铝晶体[Al(NO3)3·9H2O]可使用下列方法:

铝片        澄清溶液          白色沉淀

Al(NO3)3·9H2O

2007050701
 
   反映上述有关反应的离子方程式错误的是                 (   )

   A.2Al+2OH+2H2O=2AlO2+3H2

   B.2HCO3+2AlO2+H2O=2CO2↑+2Al(OH)3

   C.NH4++AlO2+2H2O=NH3·H2O+ Al(OH)3

   D.3H++ Al(OH)3=Al3++3H2O

试题详情

12.NA表示阿伏加德罗常数,下列叙述中正确的是               (   )

   A.通常状况下,NH4+和NH2各1mol含有的电子数均为10NA

   B.标准状况下当氧气与氦气的原子数均为NA时,它们具有相同的体积

   C.在100mL 1mol·L-1乙酸溶液中含乙酸的分子数为0.1NA

   D.1mol乙醇在氧气中完全燃烧时,转移的电子数为2NA

试题详情

11.下列除去杂质的方法正确的是                      (   )

   A.除去氮气中的少量氧气;通过灼热的氧化铜粉末,收集气体

   B.除去二氧化碳中的少量氯化氢:通入饱和Na2CO3溶液,收集气体

   C.除去FeCl2溶液中的少量FeCl3:加入足量铁屑,充分反应后,过滤

   D.除去KCl溶液中的少量MgCl2:加入足适量NaOH溶液,过滤

试题详情

10.下列现象或应用中,不能用胶体知识解释的是               (   )

   A.在饱和FeCl3溶液中逐滴加入NaOH溶液,产生红褐色沉淀

   B.用微波手术刀进行外科手术,可使刀口处的血液迅速凝固而减少失血

   C.清晨,在茂密的树林,常常可以看到从枝叶间透过的一道道光柱

   D.肾功能衰竭等疾病引起的血液中毒,可利用血液透析进行治疗

试题详情

9.下列说法正确的是                           (   )

   A.乙醇和汽油都是可再生能源,应大力推广“乙醇汽油”

   B.钢铁在海水中比在河水中更易腐蚀,主要原因是海水含氧量高于河水

   C.废弃的塑料、金属、纸制品及玻璃都是可回收再利用的资源

   D.凡含有食品添加剂的食物对人体健康均有害,不宜食用

试题详情

8.科学家利用“同位素标记法”弄清了许多化学反应的详细过程。下列说法正确的是(   )

   A.用15N标记核苷酸弄清了细胞有分裂期染色体形态和数目的变化规律

   B.用18O标记H2O和CO2有力地证明了CO2是合作用的原料

   C.用14C标记CO2最终探明了CO2中碳元素在光合作用中的转移途径

   D.用35S标记噬菌体的DNA并以此侵染细菌证明了DNA是遗传物质

试题详情

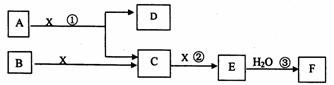
28. (l2分)下图中A、B均为固体,其中B为单质。下图可用于工业生产F。回答下列问题:

(1)A的化学式为___________________。

(2)反应①是一个氧化还原反应,该反应发生时,每生成4mol气体C,转移电子

_________________mol。

(3)写出D与铝单质反应的化学方程式______________________。

(4)反应②是可逆反应,在2L的密闭容器中投入4molC和3molX,10分钟后反应达到平衡,平衡时混合气体共6mol,则下列说法正确的是___________(填写序号字母)。

   A. 工业制取F时,C和X生成E的反应是在吸收塔进行

   B. 这10分钟内,X的平均反应速率是0.lmol/(L·min)

   C. 当C和X的消耗速率比为2:1时,标志着反应达到平衡

   D. 平衡时C的转化率是50%

   E. 在工业生产中可以通过增加X浓度来提高C的转化率

   F. 工业生产中直接用水来吸收E

   (5)写出过量气体C与氢氧化钠溶液反应的化学方程式

   _______________________________________________________。

   (6)将5mL0.02mol/L的F溶液与5mL0.02mol/LNaOH溶液充分混合,若混合后溶液的体积为10mL,则混合液的pH是___________。

试题详情


同步练习册答案