0  185168  185176  185182  185186  185192  185194  185198  185204  185206  185212  185218  185222  185224  185228  185234  185236  185242  185246  185248  185252  185254  185258  185260  185262  185263  185264  185266  185267  185268  185270  185272  185276  185278  185282  185284  185288  185294  185296  185302  185306  185308  185312  185318  185324  185326  185332  185336  185338  185344  185348  185354  185362  447090 

3.肝细胞经过氨基转换作用合成了一批氨基酸,这些氨基酸                 (   )

   A.其合成场所是核糖体     B.使细胞内的氨基酸总数增多

   C.都是必需氨基酸       D.可以用来合成糖类、脂肪

试题详情

2.下列关于蛋白质的叙述中,正确的是                                 (   )

   A.真核细胞分泌蛋白质需要高尔基体参与

   B.所有蛋白质都要通过主动运输才能进出细胞膜

   C.唾液腺细胞和肝脏细胞中均含有控制合成淀粉酶的mRNA

   D.决定蛋白质分子特异性的是氨基酸的连接方式

试题详情

选择题,每小题只有一个选项符合题意。

1.下列关于生物生殖和发育的叙述,正确的是                            (   )

   A.凡是通过植物组织培养获得的幼苗都是无病毒植株

   B.高等动物产生配子必须经过减数分裂

   C.被子植物受精卵经过细胞的分裂和分化.形成胚和胚乳

   D.高等动物的胚胎发育阶段只进行细胞分裂。在胚后发育阶段才发生细胞分化

试题详情

31.(24分)

  (1)两个红眼长翅的雌雄果蝇相互交配,后代表现型及比例如下表。设眼色基因为A、a,翅长基因为B、b。请分析回答:

表现型
红眼长翅
红眼残翅
白眼长翅
白眼残翅
雌蝇
3
1
0
0
雄蝇
3
1
3
1

     ①亲本的基因型是                    

②雌性亲本产生的正常卵细胞中,与A基因组合的基因应为        

③让子代中长翅雄蝇与残翅蝇杂交,后代中残翅果蝇所占比例为       

  (2)已知果蝇红眼与白眼基因位于X染色体上,如图所示中I至III表示果蝇的减数分裂。

     ①图II细胞叫        ,图III细胞叫       

②若图示果蝇与白眼果蝇杂交,后代中出现了红眼,请在图甲中标出眼色基因。

③如果图示果蝇为红眼,图III中a与一只红眼果蝇的卵细胞融合发育成一只白眼果蝇,该果蝇的性别是       ,请在乙图中一出c的染色体组成。

  (3)果蝇的直毛和非直毛是一对相对性状,基因位于X染色体上,从自然界中获得有繁殖能力的直毛雌、雄果蝇各一只,非直毛雌、雄果蝇各一只,现任意取两只不同性状的雌雄果蝇进行一次杂交,请你根据后代的表现型及比例,确定雌雄亲本中的显性性状(用文字表述)。

试题详情

30.(18分)课题小组有两个培养微生物的培养皿,分别培养的是乳酸菌和酵母菌。试分析回答:

  (1)酵母菌的菌落一般会散发出一股怡人的酒香味,相关的反应式为       

  (2)用酵母菌制啤酒时,为保证发酵罐中有较多的酵母菌,必须先      ,使其快速繁殖,达到一定数量后,再       ,让其进行      以获得较多的酒精(C2H5OH)。

  (3)下列坐标图分别表示在发酵罐中培养酵母菌时,各环境因素对酵母菌繁殖速度(纵坐标表示)的影响,其中不正确的是                        (   )

  (4)干扰素是治疗癌症的重要药物,它必须从人血中提取,每升血只能提取0.05μg,所以价格昂贵。现在科学家发明了应用      的方法,利用转基因酵母菌生产干扰素,其方法是:从人的淋巴细胞中取出      ,使之与一种叫质粒的

           结合,然后移植到酵母菌体中,让酵母菌合成干扰素。由于酵母菌繁殖速度快,让其生产干扰素不仅产量高,而且成本低。

  (5)培养乳酸菌的培养皿应该       ,以利于其异分解物质。

  (6)课题小组的研究性学习课题是“探究影响细菌生长繁殖的因素”。他们在培养细菌的过程中,发现了乳酸菌的周围其他厌氧菌的生长繁殖受到抑制。他们把乳酸菌接种到专门的培养基上进行培养,一段时间后,他们除去乳酸菌,用该培养基再培养其他厌氧菌,结果这些厌氧菌仍然不能在这个培养基上生长和繁殖。

     于是该组同学就假设了造成乳酸菌的周围其他细菌不能生长和繁殖的最可能的原因是:乳酸菌产生了不利于其他细菌生存的物质。

     问题:参照上述题目中所给出的有关材料,请设计一个实验对该组同学的假设进行验证。

     第一步:                             

     第二步:                             

     第三步:                             

     第四步:                             

试题详情

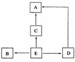
5.有一食物网如下图所示,设能量在各营养级中的传递效率为10%,假如种群E的干物质量为5.8×107kJ,种群B的干物质量为1.3×108kJ,则种群A的干物质量是     (   )           

    A.1.3×108kJ      B.5.8×107kJ      C.4.5×107kJ      D.无法确定

第Ⅱ卷(非选择题共174分)

试题详情

4.下列关于免疫的叙述,正确的是                                     (   )

    A.B淋巴细胞和T淋巴细胞核中所含基因不同,功能也不同

    B.吞噬细胞吞噬侵入体内的病菌,必须有抗体参与

    C.B淋巴细胞与骨髓细胞融合形成的杂交瘤细胞能合成单克隆抗体

    D.“先天性胸腺发育不全”的患者,细胞免疫有缺陷

试题详情

3.一般情况下,一个反射活动要通过不同神经元之间的兴奋传递才能完成。下图表示完成某神经活动的结构,若用一定强度的刺激作用于A部位的皮肤,则(   )

    A.兴奋在B处的传导速度比F处慢

    B.兴奋传递到D处时膜电位由外负内正变为外正内负

    C.A、E两处的神经末梢分别称为效应器和感受器

    D.能引起E部位的细胞收缩或分泌

试题详情

2.下图曲线a表示使用诱变剂前青霉菌株数和产量之间的关系,曲线b、c、d表示使用诱变剂后青霉菌株数和产量之间的关系。下列说法正确的是    (   )

 

    A.由a变为b、c、d体现了变异的不定向性

    B.诱变剂增多了青霉菌的变异方向,加快了变异频率

    C.d是最不符合人们生产要求的变异类型

    D.青霉菌在诱变剂作用下发生的变异只能是基因突变

试题详情

1.下列叙述中,能正确表明人体内三大营养物质代谢的关系是                (   )

    A.当糖类和脂肪的摄入及存储量不足时,人体内蛋白质的分解就会增加

    B.当脂肪代谢发生障碍时,才由糖类和蛋白质氧化分解供给人体能量

    C.当蛋白质的摄入量不足时,人体内的糖类会转变成赖氨酸的等一些氨基酸

    D.当糖类代谢发生障碍时,蛋白质和脂肪才能转变成糖类

试题详情


同步练习册答案