0  193417  193425  193431  193435  193441  193443  193447  193453  193455  193461  193467  193471  193473  193477  193483  193485  193491  193495  193497  193501  193503  193507  193509  193511  193512  193513  193515  193516  193517  193519  193521  193525  193527  193531  193533  193537  193543  193545  193551  193555  193557  193561  193567  193573  193575  193581  193585  193587  193593  193597  193603  193611  447090 

4、被测电压不要超过电压表的     ,在预先不能估计被测电压的情况下,应使用        量程,并且要采用         的方法来判断被测电压是否合适。

试题详情

3、电压表的符号是     。要测电路中两点间的电压,应当把电压表        联在此电路两点间,并且使电流从         接线柱流入电压表,从         接线柱流出电压表。

试题详情

2.5×104伏=          千伏=          毫伏。

试题详情

2、15毫伏=               伏=            千伏;

试题详情

1、导体两端有电压,导体中才会产生          ,而           是提供电压的装置,电压的国际单位的主单位是         

试题详情

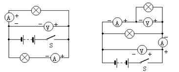
13、陈钢在做“组成串联电路”的实验时,电路连好后,闭合开关,两灯均不亮。经检查,电路连接无误,老师告诉他是一个小灯泡坏了,请你帮助陈钢,在图所示的实验器材中任选一种,连入电路,检测出哪只灯泡坏了,请按下面表格的要求填入检测实验的内容。

 

 解:利用电压表检测电路故障,这是日常和生产中最常用的方法。  如图所示电路,根据题设条件,L1、L2中有一只坏了,闭合开关后,电路处于断路状态,电路中没有电流通过,两灯都不亮。  

选用器材
检测电路图
现象及结论
电压表

1、电压表有示数,则可断定L1断 2、电压表示数为零,则可断定L2

 若L1坏了,把电压表并联接在L1两端,电压表的正、负接线柱和电源的正、负极仍然连通,电压表示数近似等于电源电压。如果把电压表并联接在L2两端,电压表正接线柱和电源的正极连通着,负接线柱不能和电源的负极连通,电压表的示数为零。  若L2坏了,把电压表并联接在L1两端,电压表的负接线柱和电源的负极连通着,正接线柱不能和电源的正极连通,电压表的示数为零。如果把电压表并联接在L2两端,电压表的正、负接线柱和电源的正、负极分别连通着,电压表的示数近似等于电源电压。  答案:把电压表并联接在L1两端,闭合开关,如果电压表示数为零,则是灯L2坏了;如果电压表示数不为零,近似等于电源电压,则是灯L1坏了。答案如下:

   其实题中给出的四种器材都可用来检测该电路的故障。其余三种的解法再此略去。

试题详情

12、连线如图所示。

试题详情

11、解:依题意填图如下:

试题详情

10、解:如图。

试题详情

9、1;2;3。

试题详情


同步练习册答案