0  202939  202947  202953  202957  202963  202965  202969  202975  202977  202983  202989  202993  202995  202999  203005  203007  203013  203017  203019  203023  203025  203029  203031  203033  203034  203035  203037  203038  203039  203041  203043  203047  203049  203053  203055  203059  203065  203067  203073  203077  203079  203083  203089  203095  203097  203103  203107  203109  203115  203119  203125  203133  447090 

3.例1 解方程:.

解: 方程两边同乘以(x2-1),约去分母,得x+1=2.

解这个整式方程,得x=1.事实上,当x=1时,原分式方程左边和右边的分母(x-1)与(x2-1)都是0,方程中出现的两个分式都没有意义,因此,x=1不是原分式方程的根,应当舍去.所以原分式方程无解.

试题详情

2.概 括

上述解分式方程的过程,实质上是将方程的两边乘以同一个整式,约去分母,把分式方程转化为整式方程来解.所乘的整式通常取方程中出现的各分式的最简公分母.

试题详情

1、思 考 :  怎样解分式方程呢?

为了解决本问题,请同学们先思考并回答以下问题:

1)、回顾一下一元一次方程时是怎么去分母的,从中能否得到一点启发?

2)有没有办法可以去掉分式方程的分母把它转化为整式方程呢?

方程(1)可以解答如下:

方程两边同乘以(x+3)(x-3),约去分母,得80(x-3)=60(x+3).

解这个整式方程,得x=21.

所以轮船在静水中的速度为21千米/时

试题详情

设轮船在静水中的速度为x千米/时,根据题意,得

方程(1)有何特点?

[概括] 方程(1)中含有分式,并且分母中含有未知数,像这样的方程叫做分式方程.

提问:你还能举出一个分式方程的例子吗?

辨析:判断下列各式哪个是分式方程.

(1) ; (2) ; (3) ; (4) ; (5)

根据定义可得:(1)、(2)是整式方程,(3)是分式,(4)(5)是分式方程. 学生观察分析后,发表意见,达成共识.学生举出分式方程的例子,根据分式方程的概念进行判定,加深对分式方程概念的理解.

试题详情

问题:轮船在顺水中航行80千米所需的时间和逆水航行60千米所需的时间相同.

已知水流的速度是3千米/时,求轮船在静水中的速度.

     读题、审题、设元、列方程,激发探究热情.

试题详情

   列分式方程解应用题的一般步骤:列方程解应用题注意分析题目中的数量,分清哪些是未知数,哪些是已知数,再找出这些数量间的关系,尽量找出多的数量关系,一般地,其中一个用来设立未知数,另一个用来立方程.

课本11、12、15.                      

试题详情

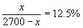
   例1  购一年期债券,到期后本利只获2700元,如果债券年利率12.5%,&127;那么利息是多少元?

解:(1)设利息为x元,则本金为(2700-x)元,依题意列分式方程为:

          

     解此方程得 x=300

     经检验x=300为原方程的根

答:利息为300元.  合作交流解法,学以致用.

   [练习]一组学生乘汽车去春游,预计共需车费120元,后来人数增加了,费用仍不变,这样每人少摊3元,原来这组学生的人数是多少个? 

本题是策略问题,应让学生合作交流解法.注意分类讨论思想.合作交流解法

   例2:某一工程,在工程招标时,接到甲、乙两个工程队的投标书.施工一天,需付甲工程队工程款1.5万元, 乙工程队工程款1.1万元.工程领导小组根据甲、乙两队的投标书测算:

(1)甲队单独完成这项工程刚好如期完成;

(2)乙队单独完成这项工程要比规定日期多用5天;

(3)若甲、乙两队合做4天,余下的工程由乙队单独做也正好如期完成.

在不耽误工期的前提下,你觉得哪一种施工方案最节省工程款?

一个批发兼零售的文具店规定:凡一次购买铅笔300枝以上,(不包括300枝),可以按批发价付款,购买300枝以下,(包括300枝)只能按零售价付款.小明来该店购买铅笔,如果给八年级学生每人购买1枝,那么只能按零售价付款,需用120元,如果多购买60枝,那么可以按批发价付款,同样需要120元,

(1)    这个八年级的学生总数在什么范围内?

(2)    若按批发价购买6枝与按零售价购买5枝的款相同,那么这个学校八年级学生有多少人?

试题详情

2.(03苏州)为了绿化江山,某村计划在荒山上种植1200棵树,原计划每天种x棵,由于邻村的支援,每天比原计划多种了40棵,结果提前了5天完成了任务,则可以列出方程为(    )

A) =5    B)=5  

 C)=5   D)=5  

试题详情

   1复习练习

1.(02苏州)某农场挖一条960m长的渠道,开工后每天比原计划多挖20m,结果提前4天完成了任务.若设原计划每天挖xm,则根据题意可列出方程(   )

A.    B.

   C. D.

试题详情

13.已知x2+y2+6x-2y+10=0,求的值。

试题详情


同步练习册答案