0  244458  244466  244472  244476  244482  244484  244488  244494  244496  244502  244508  244512  244514  244518  244524  244526  244532  244536  244538  244542  244544  244548  244550  244552  244553  244554  244556  244557  244558  244560  244562  244566  244568  244572  244574  244578  244584  244586  244592  244596  244598  244602  244608  244614  244616  244622  244626  244628  244634  244638  244644  244652  447090 

21.(共14分)实验室可利用乙二醇、铜或铜的化合物制备乙二醛,右图是某兴趣小组设计的实验装置,右边的反应装置相同,而左边的气体发生装置不同,试管C中装有水,加热装置未画出。试回答:

(1)两套装置中的A、B处都需加热,A处用水浴加热,B处用     加热,A处用水浴加热的主要优点是                          

(2)若按甲装置进行实验,B管处装铜粉,则通入A管的X是             

B中反应的化学方程式为                       

(3)若按乙装置进行实验,则B管中应装            ,B中反应的化学方程式为                                

(4)实验结束后,取C试管中的溶液滴入新制备的银氨溶液中并采用水浴加热可观察到有银镜生成,写出该过程的化学方程式                 

试题详情

20.(共12分)化合物A是最早发现酸牛奶中,它是人体内糖代谢的中间体,可由马铃薯、玉米淀粉等发酵制得,A的钙盐是人们喜爱的补钙剂之一。A在某种催化剂的存在下进行氧化,其产物不能发生银镜反应。在浓硫酸存在下,A可发生如下图所示的反应。

试写出:

化合物的结构简式:A          B           D           

化学方程式:A ® E                                

       A ® F                                

反应类型:A ® E _____________________ , A ® F ____________________。

试题详情

19.(用数字序号填空,共9分)有 ①NH2-CH2-COOH  ②CH2OH(CHOH)4CHO  ③(C6H10O5)n(纤维素)  ④HCOOC2H5   ⑤苯酚   ⑥HCHO等物质,  其中:

(1)难溶于水的是        ,易溶于水的是      ,常温下在水中溶解度不大,70℃时可与水任意比例互溶的是          

(2)能发生银镜反应的是          

(3)能发生酯化反应的是          

(4)能跟氢气发生加成反应的是      ,能在一定条件下跟水反应的是     

(5)能跟盐酸反应的是       ,能跟氢氧化钠溶液反应的是         

试题详情

18. “绿色化学”是当今社会人们提出的一个新概念,“绿色化学”工艺中原子利用率为100%。工业上可用乙基蒽醌(A)经两步反应制备H2O2,其反应可简单表示如下(条件省略):

下列有关说法不正确的是                      (   )

A、上述工业生产消耗的原料是H2、O2和乙基蒽醌

B、该法生产H2O2符合“绿色化学工艺”的要求

C、乙基蒽醌(A)的作用相当于催化剂,化合物(B)属于中间产物

D、第1反应中乙基蒽醌(A)发生还原反应,第2个反应中化合物(B)发生氧化反应

第I卷(选择题,共45分)

第Ⅱ卷(非选择题,共55分)

试题详情

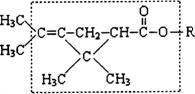
17.大约在500年前,人们就注意到某些菊科植物的花蕾中存在有杀虫作用的物质。后经研究,凡具有下列方框内结构,且R不是H原子的有机物,就可能是一种高效、低毒、对昆虫有强烈触杀作用的杀虫剂。对此杀虫剂的下列叙述中错误的是 (   )

A、能发生加氢反应,但其生成物无杀虫作用

B、在酸性溶液中,此类杀虫剂将会失去杀虫作用

C、此类杀虫剂密封保存在碱溶液中,会丧失其杀虫作用

D、左端的甲基(-CH3)不可被替换为H,否则其替代物将失去杀虫作用

试题详情

16.某有机物甲经氧化后得乙(分子式为C2H3O2Cl);而甲经水解可得丙,1mol丙和2mol乙反应的一种含氯的酯(C6H8O4Cl2)。由此推断甲的结构简式为             (   )

A、     B、

C、             D、

试题详情

15.下列是几种原子的基态电子排布,电负性最大的原子是        (   )

A.1s22s22p4      B.1s22s22p63s23p3

C.1s22s22p63s23p2   D.1s22s22p63s23p64s2

试题详情

14.气态中性基态原子的原子核外电子排布发生如下变化,吸收能量最多的是(   )

A. 1s22s22p63s23p2→1s22s22p63s23p1

B. 1s22s22p63s23p3→1s22s22p63s23p2

C. 1s22s22p63s23p4→1s22s22p63s23p3

D. 1s22s22p63s23p64s24p2→1s22s22p63s23p64s24p1

试题详情

13.化合物丙可由如下反应得到:

丙的结构简式不可能是                           (   )

 A、CH3CH(CH2Br)2       B、(CH3)2C Br CH2 Br

 C、C2H5CH Br CH2 Br        D、CH3(CH Br)2CH3

试题详情

12. “茶倍健”牙膏中含有茶多酚,但茶多酚是目前尚不能人工合成的纯天然、多功能、高效能的抗氧化剂和自由基净化剂。其中没食子儿茶素(EGC)的结构如下图所示。关于EGC的下列叙述中正确的是 (   )

A、分子中所有的原子共面

B、1molEGC与4molNaOH恰好完全反应

C、易发生加成反应,难发生氧化反应和取代反应

D、遇FeCl3溶液发生显色反应

试题详情


同步练习册答案