0  245587  245595  245601  245605  245611  245613  245617  245623  245625  245631  245637  245641  245643  245647  245653  245655  245661  245665  245667  245671  245673  245677  245679  245681  245682  245683  245685  245686  245687  245689  245691  245695  245697  245701  245703  245707  245713  245715  245721  245725  245727  245731  245737  245743  245745  245751  245755  245757  245763  245767  245773  245781  447090 

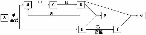
22.(12分)几种中学化学常见的单质及其化合物相互转化的关系图如下:

 

可供参考的信息有:

①甲、乙、丙、丁为单质,其余为化合物。

②A由X和Y两种元素组成,其原子个数比为1:2,元素质量之比为7:8。

③B气体是引起酸雨的主要物质,H常温下为无色无味的液体,E常用作红色油漆和涂料。

试根据上述信息回答下列问题:

(1)A的化学式为      ,每反应1mol的A转移的电子数为       mol;

(2)F与丁单质也可以化合生成G,试写出该反应的离子方程式:            

(3)少量F的饱和溶液与分别滴加到下列物质中,得到三种分散系①、②、③。

 

  试将①、②、③填入下列方框中:

 

(4)化合物M与H组成元素相同,可以将G氧化为F,且不引进新的离子。试写出M在酸性环境下将G氧化为F的离子方程式:               

(5)已知丙单质与D的浓溶液按物质的量为1:2恰好反应生成B气体的化学转化式为:

      丙 + D(浓)B↑+ 丙的氧化产物 + 水

则丙在其氧化产物中的化合价为:                

试题详情

21.(12分)某校化学实验兴趣小组为了探究在实验室制备Cl2的过程中有水蒸气HCl挥发出来,同时证明氯气的某些性质,设计了如下图所示的实验装置,试按要求回答问题。

(1)写出装置A中反应的离子方程式_______________________________________;

(2)①装置B中盛放的试剂名称为      ,装置C的作用是           

   ②装置D和E中出现的不同现象说明的问题是                 

(3)F装置的作用是                 

(4)若装置G中出现白色沉淀,该实验现象能否说明A中制备出的Cl2中含有HCl气体

         (填“能”或“不能”)。

试题详情

20.在一密闭容器中加入xmol的Na2O2和ymol的NaHCO3固体充分加热,下列有关加热后容器中残留固体成分和导出气体成分的说法正确的是

A.若x=y,气体中只含有0.5x molO2,固体中含有2y molNa2CO3和y molNaOH

B.若0.5y<x<y,气体中含有0.5y molH2O,固体中含有y molNaOH和y molNa2CO3

C.若0.5y=x,气体中有0.5x molO2,固体中有y molNaOH和y molNa2CO3

D.若x<0.5y,气体中含有(0.5y-x)molCO2,固体中含有(x+0.5y)molNa2CO3

第Ⅱ卷(非选择题  共50分)

试题详情

19.将11.2g的Mg-Cu混合物完全溶解于足量的硝酸中,收集反应产生的x气体。再向所得溶液中加入过量的NaOH溶液,产生21.4g沉淀。根据题意推断气体x的成分可能是

  A.0.3molNO2                B.0.2molNO2和0.1molN2O4

C.0.1molNO、0.2molNO2和0.05molN2O4    D.0.6molNO

试题详情

18.下列图像正确的是

A.     B.

C.    D.

试题详情

17.某学习小组为了探究碳酸钠溶液与盐酸的反应,将等体积的a mol/LNa2CO3溶液和b mol/L盐酸相互滴加混合,收集的气体体积大小关系为:V1>V2>0。下列有关说法正确的是

   A.V1是盐酸滴入到碳酸钠中产生的气体    B.2a>b>a

C.a=b                   D.2a=b 

试题详情

16.下列类比正确的是

A.NaHCO3晶体可以使新制氯水中c(HClO)浓度增大;NaHSO3晶体也可以

B.品红溶液能区别CO2和SO2两种气体,石蕊也能

C.CO2和SO2都不能使BaCl2溶液变浑浊,SO3也不能

D.用BaCl2和稀硝酸不能证明某无色溶液中一定含有SO42-,Ba(NO3)2和稀硝酸也不能

试题详情

15.将下列A~D四组物质wg分别在O2中充分燃烧后,再通过装有足量Na2O2的干燥管,干燥管增重的质量大于wg的是

A.C4H8O2          B.C6H12O6

C.C2H4O3          D.H2和CO的混合气体

试题详情

14.下列反应所产生的气体体积在标准状况下为22.4L的是

A.将2mol金属Cu与含2molH2SO4的浓硫酸共热

B.将1 mol MnO2固体与含4molHCl的浓盐酸共热

C.常温下,将32.2g金属钠和5.4g金属铝同时投入到足量水中

D.常温下,将10.8g的Al和22.4g的Fe投入到300g 98%的硫酸中

试题详情

13.下列离子方程式书写正确的是

A.AlCl3溶液与过量的浓氨水:Al3++4NH3·H2O=AlO2-+4NH4++2H2O

B.向Ca(ClO)2溶液通入过量的CO2:Ca2++2ClO-+CO2+H2O=CaCO3↓+2HClO

C.NH4HCO3溶液与少量的澄清石灰水:Ca2++HCO3-+OH-=CaCO3↓+H2O

D.CuSO4溶液与少量的Ba(OH)2溶液: Cu2++ SO42-+Ba2++2OH-=Cu(OH)2↓+BaSO4

试题详情


同步练习册答案